菱形折拼蜂窝铝板幕墙施工技术研究
崔晓东
中国核工业华兴建设有限公司 江苏省南京市建邺区云龙山路79 号 210019
引言
蜂窝铝板幕墙作为现代建筑外围护系统的重要形式,其结构轻质高强、装饰性强、耐候性能优越,在工业厂房及科研办公类建筑中应用日 构造作为蜂窝铝板幕墙中的创新形式,在提升立面造型表现力的同时,对施工精度、节点收口 更高要求。施工过程中常涉及多面夹角控制与拼缝对齐的多维度误差传导,技术实现难度大。研究聚焦于该类幕墙的设计逻辑、构造体系与工程化施工过程,基于项目实施实践展开技术分析,深入探讨关键构造节点处理与施工技术体系,为复杂几何幕墙系统的高质量建造提供理论基础与实践依据。
1 菱形蜂窝铝板幕墙工程概况
本项目地处于陆丰市碣石镇后埔村碣田公路西北侧,其东侧为汕尾海洋工程基地项目(在建)隔路相望;南侧为陆丰核电生活区,两者相距约 470m。项目共包含 3 栋钢结构建筑单体(包含内隔间),总建筑面积11905.62 ㎡,占地面积 11490.8 ㎡,其中装备研制测试车间和总装车间为戊类厂房、培训区 / 展厅为单层公共建筑。项目菱形蜂窝铝板幕墙位于碣田公路一侧,培训区 / 展厅的正南侧,幕墙的铝板采用 AA3003H24 合金材料,采用 2.5mm 厚氟碳铝单板。铝板均采用优质铝锰合金板,蜂窝芯采用防锈铝箔 A300318 合金材质,壁厚≥ 0.05mm, 蜂窝边长 6mm, 并做防腐处理。盒式铝蜂窝板为不燃材料防火性能 A2 级。幕墙龙骨为 Q235B 级碳素钢,表面进行热浸镀锌处理。

菱形蜂窝铝板幕墙平面及剖面效果图
2 菱形折拼蜂窝铝板幕墙构造与设计解
2.1 构造组成与几何设计原理
菱形折拼蜂窝铝板幕墙的构 化 元体系 其核心特征在于异形单元的可重复排列与边界节点的对称性分布 m 厚铝蜂窝芯材构成,结构强度与面层刚性协同增强 外呈折线形起伏,单元间沿斜向边拼接,使得立面形成 缘采用密缝或企口处理方式,拼接缝控制在 ±1 为避免三维错位传导对竖向龙骨系统造成不均匀荷载传 使幕墙构件在非共面基准面上获得三维柔性调节能 拼装组合,确保拼装后整体幕墙面具备连续性的视觉与力学特征
2.2 菱形蜂窝幕墙深化设计的方案比选
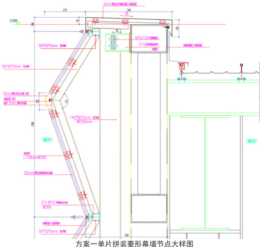
根据项目铝板幕墙的结构特点,项目在做幕墙深化设计时提出两种方案供选择。方案一为参数化单元式单片拼装方案,该方案以“模块化精准拼接”为核心,将菱形幕墙铝板拆解为标准化单元板块,通过对幕墙龙骨的造型曲面设计实现菱形幕墙的形态。方案二为整体式板块拼装方案,该方案以“工厂预制 + 整体吊装”为核心,将以每一个小三角菱形为单元,通过工厂加工成三角曲面铝板单元幕墙和三角平面铝板单元幕墙,最后在现场进行拼装完成菱形铝板幕墙的施工。



现场施工本着经济、高效、质量佳的原则,相比于方案一,方案二现场高空拼装作业内容少,拼缝处理作业内容少,现场相应的质量控制较为容易,且幕墙安装工期也会缩短,项目部初步拟选方案二作为深化的最优方案。为进一步确认方案二的可实施性,事先让加工制作工厂先加工一块样品,在对样品的模数、拼折角度、质量等进行确认后最终确认按照深化设计方案二实行。

方案二:三角曲面单元铝板幕墙加工图
2.3 模块化加工与编方式
加工过程依托于高度集成化的智能制造体系,采用“二维展开—自动编程—数控剪折—激光打码—边框组装—蜂窝压合”这一闭环流程,以确保每块菱形折拼蜂窝铝板在尺寸、角度、编与结构性能上的精准控制。二维展开阶段由 BIM(建筑信息建模)软件生成完整的立面展开图并拆分为单元模块,经由计算机辅助制造(Computer-Aided Manufacturing,CAM)系统转化为数控程序,直接驱动剪折与冲切设备实施高精度加工。每一块板材在展开环节即自动赋予唯一编,编系统采用“幕墙轴线 - 层数 - 板型 - 位置”四段式结构,既反映板件在立面中的空间定位,也体现其构造逻辑与加工类型,例如“M-04-B3- -L8* 表示 M 轴线第 4 层 B3 板型第 8 块左侧板。此类编体系与施工图纸中的分区编一一对应,便于现场装配精确定位及误差追溯 [1]。数控加工允许 ±0.5mm 边长误差控制,并通过激光打码系统在面板背面预制板信息,确保后续物流分拣与现场装配精准高效。折角成型采用模压结合数控成形的方式,实现线性误差控制在 ⩽0.3mm/m ,确保折面连接处的线性连续性和平整性。蜂窝芯材采用防锈铝箔 A3003H18 合金材质,经高温热压形成粘结单元,粘结剪切强度≥ 0.4MPa,有效保证面层稳定性与抗层间剥离能力,为幕墙系统提供强支撑力学基础。整体加工策略不仅支撑高精度装配需求,也为异形单元的柔性化供给提供技术保障。下表列出了幕墙构件编与加工参数示例,反映出标准化生产管理在项目中的关键作用。



3 幕墙施工工艺流程
3.1 工艺流程
测量放线→安装铝板幕墙支撑系统→安装铝板→打密封胶
3.2 测量放线
以第 2 层作为基准层进行放线及校核现场构造及埋件尺寸,并确定主体构造边角尺寸,及时进行边角龙骨分格尺寸调整。
(2)运用钢卷尺、全站仪从原始轴线控制点、标高点引测辅助轴线;
(3) 运用经纬仪、测距仪对辅助轴线进行尺寸和角度复核,保证偏差在容许范围内,并标识于层面;
(4) 运用辅助轴线,根据纵向龙骨布置图,用钢卷尺、经纬仪定出每边边角龙骨外表中心位置和每边中部龙骨外表中心点,复核后标识于层面;(5) 运用采用激光全站仪配合红外准直工具进行三维基准框架控制[2],从标识点向上垂直引测直至斜面层顶校核后安挂定位钢丝,运用经纬仪进行双向正交校核后固定;
(6) 水平控制: 根据《设计图纸》规定,其整幅水平标高偏差≤5mm。
(7) 分格轴线的测量放线与主体构造的测量放线配合,对误差进行控制、分派、消化,不使其积累;
(8) 每天定期校核,以保证装饰墙面的垂直及立柱位置的对的;
(9) 放线的次序 : 按土建方提供的轴线,经我方复测后上、下放钢线,用经纬仪校核其精确性。支座的水平放线每二格设一种固定支点,用水平仪检测其精确性,同样按中心放线措施放出主梁的进出位线:(10) 每层的支座位置,由水平仪检测,相邻支座水平误差应符合设计原则。
3.3 安装铝板幕墙支撑系统
L50×4mm 热镀锌角钢通过铝合金角码与 50×50× 4mm 热镀锌方钢管连接,热镀锌方钢管通过化学锚栓与墙体固定。按主梁轴线及标高位将支撑系统标高偏差调整至不大于 3mm,轴线前后偏差调整至不打于 2mm,左右偏差调至不大于3mm ;相领两根根钢管安装标高偏差不大于3mm,同层主梁的最大标高偏差不大于5mm。

3.4 铝板安装
铝板安装应将尘土和污物擦拭洁净。板外的保护膜此时严禁揭开﹐以保护铝板面。
铝板与构件防止直接接触﹐铝板四面与构件凹槽底保持一定空隙﹐每块铝板在安装前应先把定位块用螺丝固定在主梁上,再把定位螺栓拧在定位块上,此时螺杆应微调至精确位置。
铝板四面与主体构造之间旳缝隙,内外表面用密封胶连接密封,保证接缝严密不漏水。
同一平面旳铝板平整度要控制在3mm 以内,嵌缝宽度误差也控制在2mm 以内。

3.5 打密封胶
当铝板安装之后,就应进行密封处理及对墙面、顶部、底部等进行修边处理。打密封胶时应尤其注意:①充足清洁板材间间隙,不应有水、油渍、灰尘等杂物,应充足清洁沾结面,加以干燥。可用二甲苯或甲基二乙酮作清洁剂;
②为调整缝的深度,防止三边粘胶,缝内应满填聚氯乙稀发泡材料( 小圆棒);
③打胶的厚度应在3.5mm 与4.5mm 之间,不能打捞太薄或太厚。且胶体表面应平整、光滑,玻璃清洁无污物。封顶、封边、封底应牢固美观、不渗水,封顶的水应向里排。
4 技术难点分析与解决对策
4.1 菱形蜂窝铝板幕墙灯光系统安装
针对异形铝板灯光系统的安装,需在灯具选型、线路布置、节点构造上进行专项设计,以此满足菱形蜂窝铝板幕墙的灯光系统的美观、安全及灯光效果等功能要求。因此,对幕墙灯光系统安装技术控制尤为重要。4.1.1 菱形蜂窝铝板幕墙灯光系统安装技术控制重难点
本工程菱形蜂窝铝板厚度 25mm,蜂窝芯空腔传统灯具难以嵌入,灯线需沿幕墙背部或板块拼接缝穿行
易与挂件、龙骨冲突。幕墙表面要求无外露导线,灯具需隐藏于铝板折边、拼缝间隙或蜂窝芯凹槽内,对安装精度要求极高(灯具边缘与铝板误差 ⩽ 1mm)。室外幕墙面的锐角拼缝处等位置面临雨水渗透的风险,易影响灯光灯线的长期使用。
4.1.2 灯光系统安装技术管控措施
龙骨集成布线:利用幕墙钢龙骨作为导线载体,沿龙骨内侧敷设灯线,灯线外围穿PVC 管作为保护,并在每个灯带位置预留穿线口。

为隐藏灯光系统的各类导线,在菱形单元铝板设计时,于铝板中心设置灯具安装凹槽,灯具采用微型 LED灯带粘贴于铝板凹槽内侧折边,采用 3MVHB 双面胶 + 结构胶双重固定,灯带适应 0-90°折弯角度,可便于现场安装调控,在凹槽外侧设置5mm 厚的银白色亚克力板,周边打密封胶形成防护防止室外雨水的渗透。

灯带安装隐藏设置节点 菱形铝板幕墙安装成品灯光效果图
4.2 安装精度控制
施工现场的误差积累风险主要集中在安装定位与拼缝控制环节。菱形折拼结构要求板与板之间在三维空间上实现无误差对接,对基座钢结构的几何精度、龙骨系统的调平能力及板件自身的边角完整性提出系统性协同要求。在面板安装定位完成后,需进行缝宽控制复测,使用激光水平仪与塞尺结合,辅以双人交叉校核机制,有效防止误差叠加现象,每条拼缝需满足 ±1.2mm 误差容限,拼缝不均长度区间不得超过 3m,超过部分强制返工处理。对误差控制效果进行数据化统计,可有效指导后续工序调节节奏,验证当前施工策略的精度控制能力。

实测数据表明在合理的施工组织与质量控制体系下,蜂窝铝板菱形折拼幕墙的现场施工精度可稳定控制在行业规范要求之内 [3]。幕墙铝板的安装精度通过技术措施与制度流程协同执行,可实现高完成度与高一致性双重目标,为后续同类项目复制奠定标准化基础。
5 结论
菱形折拼蜂窝铝板幕墙在结构逻辑、安装工艺与环境适应性方面展现出高度复杂性与工程实践价值,已不再是简单装饰构造,而是集成高精度制造、高密度安装与多物理适配的系统工程。研究结合项目展开全过程工艺分析,构建起从模数设计、构件编号、异形拼接到动态调节的完整施工体系,验证了该类幕墙在高标准立面工程中的可控性与可推广性。综合构造协调性、施工精度和服役安全性三方面的技术表现,该系统为未来高端建筑外立面提供了可复制的技术路径与标准化工程范式。
参考文献:
[1] 张洋洋 , 王金鑫 , 陈富鹏 , 等 . 深铁 T3 施工项目中有关幕墙安装技术的应用 [J]. 安装 , 2024, (S2): 199-202.
[2] 陈富鹏 , 王金鑫 , 张洋洋 , 等 . 幕墙工程技术在珠海机场项目施工中的应用 [J]. 安装 , 2024, (S2): 203-206.
[3] 高建峰 . 建筑幕墙工程的设计与施工质量控制研究 [J]. 江西建材 , 2024, (12): 132-135.
[4] 李希 . BIM 技术在斜拼石材幕墙施工中的应用研究 [J]. 新城建科技 , 2024, 33 (12): 141-143.