海宁市大气常规污染物健康损失及经济损失评价
刘晓玲 邓经春
嘉兴市海宁生态环境监测站 海宁市气象局
空气污染健康效应的评估和经济损失评估是污染防治和疾病防控的重要依据。本文对海宁市 2020-2024 年常规空气污染物 (PM≥5 、PM10、SO2、NO2、O3、CO)的人群健康影响进行评估,对污染物造成的健康及经济损失进行评价,以期对污染防治、疾病预防等相关政策的制定提供参考。
1 材料与方法
1.1 数据来源
2020-2024 年海宁市六项常规大气污染物PM2.5、PM10、SO2、NO2、O3、CO 年均日暴露浓度数据来自,其中臭氧(O3)为日最大8h 滑动平均浓度的年均值。
1.2 健康影响评估方法
1.2.1 大气常规污染物健康损失及经济损失评价本研究基于相对危险度对空气污染物造成的疾病负担进行定量评估。相对危险度
RR 
式中,RR 为相对危险度,β 为暴露反应关系系数。C 为污染物的环境浓度,C0为参考限值,即污染物不产生健康危害的阈值浓度,部分污染物无明显阈值浓度则取流行病学研究中观察到的污染物最低浓度,相关参数见表1。
表1 参考限值、暴露反应关系系数(β)和95%置信区间

1)各污染物对健康结局的暴露反应关系β:PM2.5、PM10、SO2、NO2 和 O3 为每增加 10ug²m-3,、CO 为每增加 1mg²m-
根据式(1)得到的RR 值计算相应的健康损失,公式如下:
式中,AF 表示污染物造成的健康损失占健康结局基线发生率的比例, Ns,I 为K 年份污染物造成j 健康结局的人数,Pk为k 年份暴露人口,BMRk,j为第k 年份j 健康结局的基线发生率。
本文选择统计生命价值法,根据经济合作发展组织(OECD)推荐的统计生命价值计算方法[1
VSL= WTP/ΔP
(4)
式中,VSL 为统计生命价值,ΔP 为死亡风险的变动程度,WTP 为愿意降低死亡风险而支付的费用,由于支付意愿的调查耗费资源较大,可参考已有的支付意愿调查结果。目前国内相关研究均参考北京市统计生命价值的调查结果,本文也以此为基准,根据社会经济情况差异计算海宁市的统计生命价值,计算公式如下:

式中,VSLt,k为海宁市 k 年每例死亡的统计生命价值;VSLb为北京市 2016 年每例死亡的统计生命价值,为554 万人民币[2];GDPb 为研究基准年 2016 年北京 市人均 GDP, GDPt为2016 年海宁市人均 GDP;δ为统计生命价值的收入弹性,根据OECD 推荐为0.8;%Δ k 年相比2016 年的CPI 变化的百分比;%Δγ为海宁市k年相比2016 年的人均GDP 变化的百分比。海宁市空气污染导致的健康经济损失计算如下:
(6)
式中, Mk j为海宁市 k 年 j 健康结局的货币化健康损失; N*, j为 k 年污染物造成 j 健康结局的人数; VSLτ,k 为海宁市k 年每例死亡的统计生命价值。
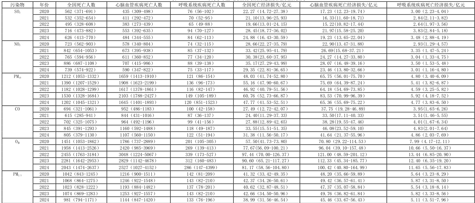
表2 2020-2024 年海宁市空气污染物导致的健康损失及经济损失

从上表数据可以看出,2020-2024 年全因、心脑血管疾病、呼吸系统疾病死亡人数及相对应的经济损失与污染物浓度变化规律一致。其中O3为造成上述疾病最主要因素,其次是 PM1∘ 和 PM2,5, ,影响最小的是SO2。
2020 年空气污染造成的全因死亡经济损失范围在 22.27-57.50 亿元,心脑血管疾病死亡的经济损失范围在17.23-70.80 亿元,呼吸系统疾病死亡的经济损失范围在 2.93-7.99 亿元。2024 年空气污染造成的全因死亡经济损失范围在 24.88-81.17 
,心脑血管疾病死亡的经济损失范围在19.23-100.42 亿元,呼吸系统疾病死亡的经济损失范围在3.01-11.65 亿元。但要注意的是,本文的健康损失并不全面,因此货币化的健康经济损失也并不全面,但研究表明死亡带来的健康经济损失在总损失中占据较大比例 ,本研究给出的货币化健康经济损失及变化趋势仍具有参考价值。从本文的研究结果看,海宁仍应加强大气污染防治力度,特此是对臭氧和颗粒物的治理,以减少对人体健康的影响。
参考文献:
[
1]Organisation or conomic ooperation nd evelopment(OECD).The ost f ir ollution: ealthmpacts of road transport[EB/OL].https://doi. org/10 .1787 /9789264210448-en,2014-05-21.
[2]Andersson ,Jin Y ,Zhang .Do preferences to reduce ealth isks elated to ir ollutiondepend n llness ype? vidence rom hoice xperiment n eijing,China[J].Journal f nvironmentalEconomics and Management,2020,103,doi: 10.1016 /j.jeem.2020.102355
[3 ]李惠娟, 周德群, 魏永杰.2015~2018 年我国 PM2.5 健康损害价值的动态评估[J]. 环境科学,2020,41(12):5225-5235
作者简介:刘晓玲(1984 年生) 女,研究方向:环境监测;基金项目:海宁市科技计划项目(2025014)