EWIS 系统线束直径变化研究
张扬
上海飞机制造有限公司 上海 201324
1、问题
某型号飞机客舱前段区域,其中一根线束在无额外线束分支,且使用完整的、同型号的保护材料的前提下,线束的不同位置存在线束直径不同的情况。
2、相关定义
2.1 卡箍
EWIS 系统线束敷设安装过程中,为了确保正确的敷设路径,防止线束与线束、线束与结构等之间的磨损,应合理设置主支撑。卡箍作为支撑线束,提供应力释放、吸收振动与冲击等功能的器件,民用飞机一般采用闭口金属卡箍或开口塑料卡箍。
因开口卡箍的开口状态是可接受的,开口卡箍内径并不与线束直径相等,故不作讨论。本文中的卡箍特指闭口金属卡箍。
2.1.2 卡箍的选取
根据所固定线束的直径,选择合适尺寸的卡箍,卡箍过大或过小都会造成固定失效。应选用卡箍内径大于线束直径但型号最小的卡箍。在线束上安装卡箍时,卡箍应完全被线束充满且不歪曲、不挤压电线,确保线束在卡箍内不移动、不被摩擦。
2.3 辅助支撑
辅助支撑主要用于保持线束形状及确保隔离。辅助支撑常用材料包括:支撑杆、绑扎带、机械卡带、压敏胶带、模缩套和隔离子等。使用绑扎带 / 卡带固定,可等效为在线束外围施加能够使线束之间保持稳定的结构的外力,且线束之间不发生形变。
绑扎带或尼龙卡带不得位于隔离层、金属编织层或纺织编织层下。如果在线束的布置或成形期间需要辅助绑扎 , 则应使用特富龙胶带。在保护材料与线束之间不得安装绑扎材料,因此对于使用了 EMI 闭口金属套管的线束,线束捆扎材料只能使用无辅助支撑线束性能的特富龙胶带。
2.4 截面圆
各导线和电缆应尽可能地平行。导线在绑扎带和卡带下方及线束分叉处不得交叉,其余整个敷设长度上尽可能保持平顺相接触。安装过程中要将卡箍紧贴在线束或电缆上,卡箍应与电缆敷设方向成 90∘ ±5°安装。可视作卡箍内径与线束直径相等。
如果选取某一根导线,在一段很小的敷设路径内,使用一个垂直于线束敷设方向的平面纵向切割导线,可以得到一个圆截面,将该截面定义为截面圆。
3、线束直径的计算
线束直径的计算可转化为,同一平面内的一组数量为 n 的圆, n>0 ,在每个圆至少和其他两个圆相切的情况下,能够包括所有的圆,且与其中的一部分相切的外切圆的最小直径,即为线束的最大直径。
3.1 线束直径计算原则
计算线束直径时:
1)需获取准确的导线或电缆直径数据,应选用产品规范中给出的最大外径值。
2)不同线规的导线在线束中的排列方式随机,因而需要按照能够与线束中的截面圆相切的最大的外圆进行计算。
3)默认线束之间彼此平行,不考虑线束中导线或电缆互相交叉的情况。
4)默认线束之间不发生形变,能够稳定紧密贴合。
5)如果线束使用了保护材料,需要考虑保护材料的厚度与安装方式。
3.2 线束直径估算
根据线束外部有无保护材料,分为两类情况进行讨论:
3.2.1 无保护材料
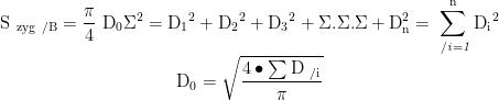
线束由 n 根导线组成,等效为 n 个截面圆彼此相切,导线的直径分别为D1 、 D2 、 D3.......Dn ,线束外无保护材料。与线束中的截面圆相切的最大的外圆为 D0 ,作所有截面圆的共同外切圆B,所求的线束直径即为圆B 的直径。
圆B 的面积为:

使用等效正方形法,将圆 B 内部的 ρn 个截面圆视作 ρn 个正方形,并将 n 个正方形的面积之和近似为圆B 的面积,则有:

3.2.2 有保护材料

注:L 为保护材料厚度,根据实际情况可包括EMI 护套与机械套管。
3.3 线束直径计算
在区域内共有线规 8 的导线 17 根,线规 10 的导线 1 根。且线束内无永久接头;线束外部使用EMI 保护套管。
参考 AS22759/87 等标准,AWG8 最大线径为 4.776mm ,AWG10 最大线规为3.226mm ;套管厚度为 0.51mm 。
参考 3.2.2,可以求得线束的线束直径为 23.532mm 。根据相关选型文件,理论上该段线束卡箍规格应选用15。
4、线束直径变化分析
4.1 某段线束线径存在问题:
A 处线径略大,去除保护套,使用直径尺测量后,裸线线束直径约为25.5mm,需使规格 16 的卡箍。
B 处线径略小,去除保护套,使用直径尺测量后,裸线线束直径约为 22mm ,需使用规格14 的卡箍。
4.2 A 处线束
去除保护套后发现,A 处有部分线束标签聚集在卡箍点附近。
线束中的导线包括两种标签套管,收缩后标签的壁厚将增加到对应导线。相当于在 AWG8 的导线上增加最大 0.69*2mm 的直径,在 AWG10 的导线上增加最大 0.61*2mm 的直径。
若按照本线束中所有导线的标签都聚集在此卡箍处计算,该处线束理论的最大直径为 30.1124mm ,相当于规格 19 的卡箍。即标签的位置变化最大在线束上引起 4 个增大规格的变化。实际情况为一部分标签聚集在该卡箍固定点,引起的此处线束直径增大。
4.3 B 处线束
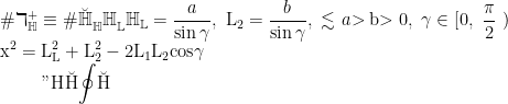
去除护套后发现,该处线束产生了较大的线束扭绞。将此种情况拟合为两组平行线交叉:
取两根平行线束,直径分别为 a 与 b,线束交叉后产生的夹角为 γ 。设线束交叉形成的平行四边形斜边为 x ,边长分别为 L1, L2 ,交点到斜边 x 的垂直距离分别为h1,h2,并将 h1+h2 作为交叉点附近的线束直径。

又因为 S 四边形
x (h1+h2) ,令 t= cosγ,t ∈ [0,1)
可得
令 :(t)=t-t3 ,f’( (t)=l-3t2 ,则f(t)在 t=0 与 t=1 处取得最小值,f(t)min=0
则
而线束平行贴合时,直径为 a+b ;
因
,则
;又因
,所以
即交叉处的线束直径恒小于平行敷设且贴紧的线束直径。两者的差值取决于线束交叉的角度,故B 处的线束直径偏小是由于使用胶带对线束进行绑扎时,线束之间受外力不均匀导致线束产生扭绞,导致部分线束交叉造成的。
5、其他线束直径产生变化的部分因素
5.1 线束外部
1)线束上使用的保护材料厚度不均匀;
2)闭口编织套和开口套管及自卷绕保护材料的卷绕方式;
3)线束外部辅助支撑器件影响。如电源线上使用的隔离子,此处卡箍要求安装在隔离子外侧,卡箍选型时还要再额外考虑隔离子的厚度;
5.2 线束内部
1)线束使用的套管标签/ 永久接头等安装在同一区域;
2)线束回折;
3)捆扎线束、线束形变时产生的线束错位;
4)线束内部的填充材料不均匀引起的直径变化;