测绘工程中坐标系转换方法的研究
董华周
彬县水帘洞煤炭有限责任公司 410901198403080016
引言:在测绘工程领域,坐标系是描述地理空间位置的基础框架。不同的测绘任务和应用场景往往需要采用不同的坐标系。例如,全球定位系统(GPS)采用的地心坐标系便于进行全球范围的定位与导航,而城市规划、工程测量等则常使用平面直角坐标系以方便进行距离、面积等计算。因此,实现不同坐标系之间的精确转换是测绘工程中的关键环节,其转换精度直接影响到测绘成果的质量和后续工程应用的可靠性。
一、常见坐标系类型
1.1 地理坐标系
地理坐标系是以地球椭球体为基准,用经度和纬度来表示地面点位置的坐标系。经度是指通过该点的子午面与本初子午面之间的夹角,纬度是指该点法线与赤道平面之间的夹角。常见的地理坐标系有 WGS - 84 坐标系、北京 54 坐标系、西安 80 坐标系等。WGS - 84 坐标系是一种全球性的地心坐标系,广泛应用于 GPS 定位和导航领域;北京 54 坐标系和西安 80 坐标系则是我国在不同时期基于不同的参考椭球建立的局部坐标系,在我国早期的测绘工作中发挥了重要作用。
1.2 平面直角坐标系
平面直角坐标系是将地球表面投影到平面上,用直角坐标(x,y)来表示地面点的位置。常见的投影方法有高斯 - 克吕格投影、兰勃特投影等。高斯 -克吕格投影在我国应用广泛,它是一种横轴墨卡托投影,将地球按经线划分为若干带,每带单独进行投影,在每个投影带内,中央经线投影后为直线且长度不变,其余经线投影为对称于中央经线的曲线,赤道投影后也为直线且与中央经线正交。通过高斯 - 克吕格投影,可以将地理坐标系中的经纬度坐标转换为平面直角坐标系中的坐标,便于进行工程测量和地图绘制等工作。
二、经典坐标系转换方法
2.1 布尔沙模型(七参数模型)
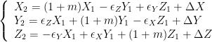
布尔沙模型是一种用于不同空间直角坐标系之间转换的模型,它包含七个参数,即三个平移参数(ΔX、ΔY、 ΔZ )、三个旋转参数(εX、εY、εZ)和一个尺度变化参数 m 。该模型的基本原理是假设两个坐标系之间存在平移、旋转和尺度变化,通过求解这七个参数来实现坐标系的转换。
设源坐标系中的点坐标为( X1,Y1,Z1 ),目标坐标系中的对应点坐标为( ΔX2 ,Y2 , Z2 ),则布尔沙模型的转换公式为:

布尔沙模型适用于大范围、高精度的坐标系转换,如全球或国家级别的坐标系转换。其优点是能够全面考虑两个坐标系之间的平移、旋转和尺度变化,转换精度较高;缺点是参数求解需要至少三个公共点,且对公共点的分布和精度要求较高。
3.2 四参数模型
四参数模型主要用于平面直角坐标系之间的转换,它包含四个参数,即两个平移参数(Δx、 ΔY )、一个旋转参数(α)和一个尺度变化参数 k 。该模型假设两个平面直角坐标系之间存在平移、旋转和尺度变化,通过求解这四个参数来实现坐标系的转换。
设源坐标系中的点坐标为 (ΦX1,Φy1) ,目标坐标系中的对应点坐标为(
,y2),则四参数模型的转换公式为: {x2=Δx+(1+k)(x1cosα-y1sinα)
四参数模型适用于小范围、精度要求相对较低的坐标系转换,如城市局部区域的坐标系转换。其优点是参数求解只需要两个公共点,计算相对简单;缺点是转换精度受公共点分布和精度的影响较大,且不能考虑两个坐标系之间的高程差异。
三、坐标系转换误差来源及控制措施
3.1 误差来源
公共点误差:公共点是坐标系转换的基础,其坐标精度直接影响转换参数的求解精度。公共点误差主要来源于测量误差、坐标解算误差等。
模型误差:不同的坐标系转换模型都有其适用范围和局限性,当实际转换情况与模型假设不符时,就会产生模型误差。例如,布尔沙模型假设两个坐标系之间只存在平移、旋转和尺度变化,但在实际情况中,可能还存在其他变形因素,从而导致模型误差。
投影误差:在进行地理坐标系到平面直角坐标系的转换时,需要采用投影方法,不同的投影方法会引入不同的投影误差。投影误差的大小与投影带的宽度、投影中心的位置等因素有关。
3.2 控制措施
提高公共点精度:选择精度高、分布均匀的公共点,并采用高精度的测量仪器和方法进行测量。对公共点坐标进行多次测量取平均,以减小测量误差。
合理选择转换模型:根据转换范围、精度要求等因素,选择合适的坐标系转换模型。对于大范围、高精度的转换,应选择布尔沙模型等更复杂的模型;
对于小范围、精度要求较低的转换,可以选择四参数模型等简单模型。
优化投影方案:根据工程实际需求,选择合适的投影方法和投影带宽度,以减小投影误差。例如,在高斯 - 克吕格投影中,可以选择合适的中央经线,使投影变形最小。
四、实际案例分析
以某城市从地方坐标系转换到国家 2000 坐标系为例,该城市范围较大,涉及多个测绘区域。首先,收集了该城市范围内分布均匀的 10 个公共点,这些公共点在地方坐标系和国家 2000 坐标系中均有精确坐标。然后,采用布尔沙模型进行坐标系转换参数的求解,通过最小二乘法计算得到七个转换参数。在转换过程中,对公共点坐标进行了多次测量和校验,以确保其精度。转换完成后,对部分非公共点进行了检验,结果表明,转换后的坐标与实际坐标的误差在允许范围内,满足工程要求。
五、坐标系转换方法的发展趋势
5.1 多源数据融合转换
随着测绘技术的发展,获取的地理空间数据来源越来越广泛,如卫星遥感、航空摄影、地面测量等。未来的坐标系转换将更加注重多源数据的融合,充分利用不同数据源的优势,提高转换精度和可靠性。
5.2 智能化转换
借助人工智能和机器学习技术,实现坐标系转换的智能化。例如,通过训练神经网络模型,自动学习不同坐标系之间的转换关系,减少人工干预,提高转换效率和精度。
5.3 实时动态转换
在一些对实时性要求较高的应用场景,如自动驾驶、智能交通等,需要实现坐标系的实时动态转换。未来的研究将致力于开发实时动态转换算法和技术,满足这些应用的需求。
结论
坐标系转换是测绘工程中的关键环节,不同的坐标系转换方法具有各自的适用场景和优缺点。在实际应用中,应根据转换范围、精度要求等因素,合理选择转换模型,并采取有效的误差控制措施,以确保坐标系转换的精度和可靠性。随着测绘技术的不断发展,坐标系转换方法也将不断创新和完善,多源数据融合转换、智能化转换和实时动态转换将成为未来的发展趋势,为测绘工程和相关领域的发展提供更有力的支持。
参考文献
[1] 王忠礼 , 刘德利 . 测绘领域中常用坐标系统及其转换计算 [J]. 吉林建筑大学学报 ,2021,38(05):34-38.
[2] 陈晓楠 , 唐晓艳 , 杨非凡 , 等 . 基于 VC 的测绘坐标转换程序设计与实现[J]. 电子测试 ,2021,(16):53-54+24.