转化与化归思想在函数与导数问题中的应用探究
关健
上海市七宝中学附属鑫都实验中学
高中数学的学习进程可划分为三个逐步深入的阶段,各阶段在目标、重点及学习方法上各有不同,共同推动学生从基础知识的积累迈向综合能力的运用:
一、基础认知阶段
此阶段的核心任务是搭建数学知识框架,让学生理解基本概念、公式和定理。
二、深化理解阶段
此阶段的核心目标是建立知识间的内在联系,使学生掌握逻辑推理和解题方法。
三、综合应用阶段
此阶段的重点在于整合知识体系,提升学生的解题技巧和应试能力。
这三个阶段层层递进,基础阶段是前提,深化阶段是关键,综合阶段是升华,环环相扣,共同构成高中数学的学习体系。在高中数学中,函数学习中数学思想的应用是综合解题的关键,其中包括变量与对应思想、建模思想(构建函数关系)、利用函数性质分析问题、数形结合思想(函数图像的应用)、转化与化归思想(函数视角下的问题转化)、分类讨论思想(函数参数的动态分析)等。本文将重点探讨转化与化归思想。
一、转化与化归思想的内涵
转化与化归思想是指将待解决或难解决的问题,通过特定手段转化为已解决或易解决的问题,最终使原问题得到解答。其应用原则为:化难为易、化生为熟、化繁为简、化未知为已知。常见的转化与化归方法包括:直接转化法、换元法、数形结合法、构造法、坐标法、类比法、特殊化法、等价问题法、加强命题法、补集法等。
二、转化与化归的原则
正难则反原则:当从问题正面讨论遇到困难时,可考虑问题的反面,从而使问题得到解决。
熟悉化原则:把陌生的问题转化为熟悉的问题,以便运用已有的知识和经验解决。
简单化原则:将复杂问题转化为简单问题,通过解决简单问题来解决复杂问题,或获得解题的启示与依据。
直观化原则:把抽象的问题转化为直观的问题,降低解题难度。
三、应用转化与化归思想的一般思维路径
明确化归对象:确定需要进行转化的问题。
确定化归目标:明确将问题转化为哪种类型的问题。
选择化归方法:找到实现转化的具体手段。
四、转化与化归思想在函数与导数问题中的应用案例
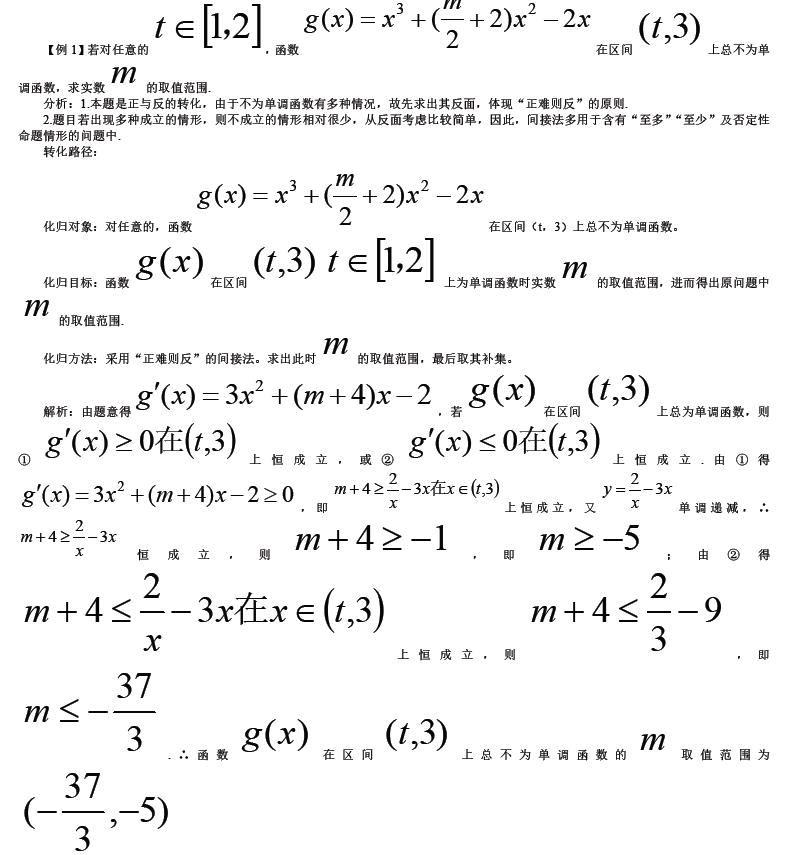
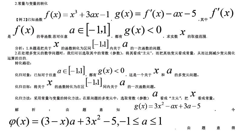
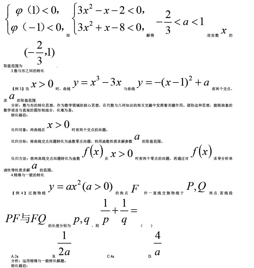
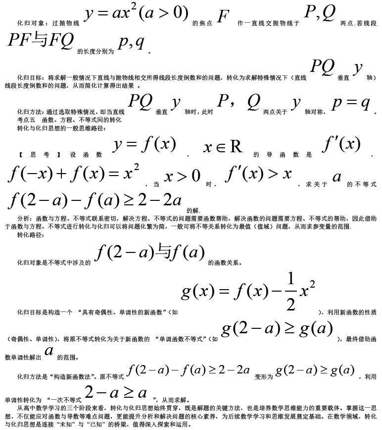
1.正与反的转化



