缩略图
Science and Technology

车载炮身管流固耦合传热分析

作者

霍高飞 左腾 杨俊峰

山西北方机械制造有限责任公司 030000

1 前言

车载炮在现代常规兵器中占有一定的地位。在高速的连续射击过程中,膛内高温气体高速流动与身管内膛进行传热交换,在高温、高压、高速火药气体和弹带及弹体对炮膛反复作用下,加快身管内膛的烧蚀磨损进程。因此,在火炮设计过程中也应该对身管的传热过程进行分析研究。

2 车载炮身管传热分析概

2.1 身管传热分析基本假设

基于对身管热量传递过程的物理描述及对身管的热传递问题的简化,现对身管的热传递求解时做出以下的假设:

(1)不考虑火药燃气和身管内壁间的辐射传热;

(2)忽略弹丸与身管内壁的摩擦作用及由于摩擦引起的热效应;

(3)身管温度场具有对称性;

(4)身管内壁是光滑膛壁,忽略膛线的影

2.2 身管传热过程

按照热量在身管上传递的过程将其分为三个连续阶段:热输入、热存储和热输出。

2.3 车载炮身管传热模型的建立

2.3.1 身管几何模型的简化

由于身管传热分析所用的计算初始温度载荷条件就是车载炮三维流场 CFD分析的结果,具体来说:

(1)身管主要的特征尺寸量:内膛口径、身管长度、药室容积及弹道行程不变;

(2)忽略内膛复杂的膛线结构;

(3)为了能跟 CFD 计算结果精确地耦合,取身管1/2 实体模型。

2.3.2 身管传热分析计算区域的建立

车载炮身管传热分析总共包含 3 个计算区域,膛内高温火药燃气区域,身管固体区域,外界大气区域。

2.3.3 身管网格划

为了在保证较高的计算精度,采用六面体单元,对身管整体划分边长为10mm 的六面体结构网格。

2.4 车载炮身管传热分析条件的确定

2.4.1 初始条件的确定

后效期开始时刻,高温高压的火药燃气依次经过面 1、面 2、面 3 从膛口高速流出,在进行车载炮三维流场 CFD 模拟时,监测出后效期内火药燃气与身管内膛接触的3 个耦合面上的平均温度随时间变化的曲线如图1 所示:

图1 后效期内火药燃气平均温度随时间变化曲线

2.5 车载炮身管传热分析

2.5.1 施加载荷

将后效期内身管内壁平均温度随时间变化的曲线作为身管瞬态传热计算的初始条件,为简化计算,把身管的热传导率及身管外壁对大气的自然对流系数当做常量对待。由于流场计算得到的温度场数据过于庞大,在进行身管传热分析时,将时间步长设置为 0.5ms ,计算时间选定在( 0ms~40ms )的时间内。

2.5.2 仿真计算

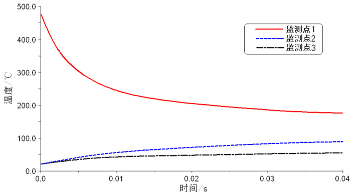
选用的车载炮身管内径为 122mm ,身管尾部外径为 238mm ,身管口部外径为 175mm 。截面A-A距膛底 1400mm ,截面B-B距膛口 200mm 。在截面A-A 上取三个点,点 1 在身管内壁上,点 2 在半径为 87.5mm 的圆上,点 3在身管外壁上,同理也适用于B-B。

身管瞬态传热分析得到开始时刻身管内壁上点 1 的温度为 476‰ ,身管内部监测点2 及身管外壁监测点3 的温度均为环境温度 22% ;结束时刻身管内壁温度为184.58℃,身管内部监测点2 温度为 64.85°C ,身管外壁上监测点3 温度仍然为 22% 。总体来说,在后效期内身管内壁的温度呈降低趋势,身管内部温度呈上升趋势。

后效期开始时刻,身管内壁温度为 476C ,身管外壁及身管内部温度均为

22℃的环境温度,内外壁温度差别较大。经过后效期内传热过程,身管内外壁温差减小。

身管瞬态传热分析得到截面上三个监测点的温度随时间变化的规律如图2。

图2 三个监测点的温度随时间变化的规律

由上图可以看出,开始时刻身管内壁上三个监测点的温度与截面A-A上的温度相同,结束时刻身管内壁温度为 184.58qC ,身管内部监测点 2 温度为89.81C ,身管外壁上监测点 3 温度仍然为 64.35qC 。

3 结果分析

综合身管瞬态传热分析的结果可以得到:

(1)在后效期内,身管内壁温度逐渐降低,身管内部及外壁的温度逐渐增加,且温度变化的趋势越来趋于缓慢。这是因为在开始时刻,身管内各个点的温度差别较大,身管温度分布沿径向有很大的梯度,身管内部径向热量传导较为剧烈。随着时间的推移,内部各点温度开始升高,温度的梯度随之减少,各点能量的吸收、释放速率不及开始时大,使得温度增幅逐渐趋缓。

(2)在身管内部,距离身管内壁越近,温度越高。这是因为在计算开始时刻,身管内壁上各点的温度是相等的,传热过程中,热量只沿径向由内壁向外壁传递,使得同一截面上温度分布呈从内壁到外壁温度下降的趋势。

(3)身管内膛壁面在传热过程中的温度较高,随着火炮长时间的连线发射,身管内壁附近薄层的材料性能下降,最终使得身管内膛产生烧蚀现象。

参考文献

[1] 宋学官,蔡林,张华.ANSYS 流固耦合分析与工程实例[M].北京:中国水利水电出版社,2012,1 :2-3

[2] 郭术义,陈举华.流固耦合应用研究进展 [J].济南大学学报(自然科学版).2004,18(2):123-125

[3] 黄旌,高涛.ANSYS 用于机翼有限元分析的建模研究 [J].红河学院学报.2006,4(2):8-11

[4] 雷晓飞.低冲击波低噪声炮口制退器研究与设计 [D].太原:中北大学,2013