基于工作量均衡的烟草物流配送区域划分与路径优化研究
程功 王海滨
湖北省烟草公司黄冈市公司 湖北黄冈 438000
引言
烟草行业一直是我国的主要税收来源之一。据统计,在 2024 年,我国烟草行业实现工商税利总额16008 亿元,上缴财政总额15446 亿元,分别同比增长 5.0% 、 2.8% ,税利总额和财政总额均创历史新高。烟草行业的高质量发展,为国家经济社会发展做出了全方位、多层次的突出贡献。
烟草物流作为行业核心业务之一,正处于数字化转型与政策调控的双重变革之中。一方面,通过数智化技术赋能烟草配送系统的优化已成为提高企业竞争力的重要途径;另一方面,国家发改委与交通运输部出台的降低物流成本系列政策,对优化运输结构,提高物流资源利用效率提出了更高的要求。因此,优化烟草物流配送路径规划,实现降本增效,是当前烟草物流的重要任务。
当前烟草物流配送路线模式普遍具有如下问题:
(1)线路规划不合理。当前烟草物流配送路径规划往往依赖人工经验,沿着主要道路人为进行客户分配,缺乏科学的路径优化算法支撑。这种粗放式的规划方式导致配送路线迂回重复、里程过长,不仅增加了燃油消耗和运输成本,还延长了配送时间,降低了整体运营效率。同时,这种经验导向的路径规划方式也无法精准计算装载量和配送顺序,容易出现车辆装载率低下或超载等问题。
(2)工作量分配不均衡。烟草物流通常是“一车两人”的固定模式,即由一名司机和一名送货员共同负责单日线路的配送,然而不同线路之间可能存在工作量不均衡的问题。在实际操作中,部分配送员因负责线路零售户密集、配送量大,经常需要加班完成工作;而另一些配送员却因线路客户分散、任务量少,出现工作时间严重不饱和的情况。这种不科学的分配方式既造成了人力资源的浪费,又影响了员工的工作积极性,还可能导致配送服务质量参差不齐。
因为烟草物流配送的问题规模通常很大,所以一般首先需要通过聚类方法降低问题规模,然后再通过路径规划算法获取子区域的最优路线结果。对此国内外学者已经进行了许多研究。谷炜等[5] 针对传统K-means算法初始中心选择随机性大、缺乏外部约束能力等不足,提出了一种两阶段的 K-means 算法,先进行初始聚类,再通过调整工作量差异实现配送区域的均衡划分。李晨睿等[3]提出面向烟草配送场景的”区域划分–路径规划”两阶段协同优化方法,设计了基于经纬度和送货量均衡的M-Cut 划分算法,并进一步构建路径优化模型确保每条线路在距离、户数、货量维度上的工作量均衡。杨楷 [1] 采用了约束 K-means 聚类算法进行配送区域划分,以总运营成本最小化建立双层规划模型,并设计了一种改进的粒子群 - 自适应大邻域搜索(PSO-ALNS)双层优化算法对其进行求解。Santini 等 [8] 研究了分解策略在大规模 VRP 问题求解中的应用,特别是 ALNS 与 HGS 算法与分解技术的结合。Breuning 等 [9] 针对双层车辆路径问题提出了一种混合元启发式算法,该方法结合了枚举式局部搜索与破坏- 修复原则。
1 问题描述与相关符号
1.1 问题描述
本文研究的问题来源于我国烟草物流体系中的县级或地市级配送中心向终端零售户的日常卷烟配送任务。本文拟构建一种区域划分与路径优化相结合的协同优化模型,解决大规模客户配送路径规划中的“区域不合理、路径不经济、工作量不均衡”等现实困境。
为进一步优化物流资源配置、提升配送效率,现拟引入差异化配送策略在当前烟草物流配送体系的线路规划中,打破对所有客户“一周一送”配送频次的路径依赖。根据地图工具与人工经验,将配送区域划分为由城区和周边地区组成的城网和以及由其余地区组成的农网。由于配送中心通常建立在城区,从配送中心到城网客户的距离相对较短,所以对城网客户维持“一周一送”的配送频次,而相对较远的农网客户调整为“两周一送”的弹性配送机制。
具体而言,本文所研究的内容可以概括为以下三方面:
(1)针对客户地理分布不均、配送频率不一致的特点,需在总客户集中划分出若干空间连通且配送负荷相对均衡的子区域,为后续路径规划提供结构性简化。划分需同时考虑客户的等效周期需求量、客户数量约束和单区域装载容量约束。
(2)对于采用两周一送机制的客户,需进一步在各区域内合理确定其在双周周期中的配送周次(第一周或第二周),使得两个周期的配送工作量在每个区域内均衡,避免周期间负载结构波动过大。
(3)在已划定的区域内,结合客户需求、地理位置、配送车辆的车型、载重、出车限制等因素,规划每辆车的配送路径,使得所有客户在满足容量与时间约束下被一次性服务,且以最小化配送距离成本和车辆使用成本为目标,同时控制不同线路间的工作量差异在合理范围内,以实现任务调度的公平性与效率兼顾。
1.2 符号说明
针对本文研究的路径规划问题,定义以下符号和变量:V={0,1,...,n} 表 示 全 部 节 点 的 集 合, 其 中 0 为 配 送 中 心;N={1,2,...,n} 表示客户点集合;
表示从 i 到j 的边; K 表示车辆类型集合; Mk 表示类型 k 的车辆最大可使用数量;Rk={1,...,Mk} 表示类型 k 的编号集合;
表示所有车辆组成的集合; di,j 表示车辆从 i 到 j 所需的行驶距离; ti,j 表示车辆从 i 到 j 所需的行驶时间; qi 表示客户 i 的需求量; Qk 表示类型 k 的车辆的最大装载量; ts 表示到达客户点后因装卸等操作造成的停留服务时间; tι 表示从配送中心出发前平均每单位货物的装载时间;xi,jk,m 为0-1 变量,表示车辆 (k,m) 是否从 i 行驶到 j ; yik,m 为 0-1 变量,表示车辆 (k,m) 服务; zk,m 表示车辆 (k,m) 是否被使用; uik,m 表示到达客户 i 时车辆 (k,m) 的累计载重; Wk,m 表示车辆 (k,m) 的工作量; croad 表示单位配送距离的成本; ccar 表示车辆使用成本。
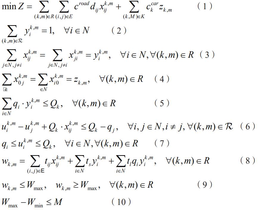
2 模型建立
本文将研究的子区域路径规划属于具有装载量限制的多车型的VRP 问题。将地市级配送中心或县区级中转站视作配送中心,配送中心拥有多种类型的车辆,不同类型的车辆具有不同的容量。车辆从配送中心出发,按照已经划分的子区域和单双周客户分配进行配送,并在完成全部配送任务后返回配送中心。
本文在路径优化模型中考虑了配送线路的工作量均衡,为降低配送距离以及减少使用的车辆数量,目标函数为最小化配送距离成本和车辆使用成本:

其中:(2) 式表示确保每一个客户只能被一辆车配送,防止出现重复配送或遗漏的情况;(3) 式是流入流出平衡约束,规定了某客户由某辆车的配送时,该车辆路径中必须包含一条进入该客户的边和一条离开该客户的边,以保障路径的完整性与连通性;(4) 式表示配送路径的起止节点均为配送中心,且仅当车辆实际被启用时,才允许其路径中包含与中心节点之间的连边;(4) 式限制每辆车辆所承载的总配送量不得超过其对应车型的最大装载能力;(6) 式表示采用MTZ 形式以消除子回路;(7) 式表示 uik,m 的取值范围;(8) 式定义了每辆车的总工作量,由三部分组成:路径中各段形式时间 ti,j ,车辆分配的客户数量乘客户停留服务时间 ts ,车辆载重乘单位卷烟的装载时间 tι ;(9) 式用于识别所有车辆工作量中的最大值与最小值;(10) 式控制各车辆之间工作量的最大差异不超过预设阈值 M ,以提升调度任务在不同线路间的负载均衡性。
3 算法设计
3.1 考虑客户周次分配的聚类算法
本文根据“分而治之”的思想,在路径优化前引入区域划分策略,通过聚类算法从空间上将大规模 VRP 转化为多个可并行处理的小问题,在保证解的质量同时提升计算效率。K-means 算法在 1967 年由Macqueen提出,是一种经典的聚类算法,常用于VRP问题的区域划分[10]。为应对配送客户存在每周与两周一送频率差异、空间分布不均、路径负荷波动大的问题,本文设计了一种两阶段双周期感知式 K-means 聚类算法。该算法以 K-means 为基础,引入客户配送频率信息、周期负荷结构、装载均衡控制、装载量约束和客户数约束等多个维度,通过先划分稳定的空间区域结构,再执行基于周期性波动的优化调整,从而生成高可行性、高稳定性的配送子区域划分结果。
算法分两个阶段执行,第一阶段通过带约束的 K-means 算法构造结合区域装载与客户数控制的配送区域划分,第二阶段在各区域内进行两周一送客户周期归属与装载微调,实现区域结构稳定性与周期负荷平衡性的协同优化。
设定每个客户 i 包含:坐标信息 (xi,yi) ,配送需求量 qi ,配送频率类型 fi∈{1,2} ,分别对应“每周一送”和“两周一送”;聚类数目为 K ,每个区域的最大装载量上限 Qmax ,客户数量上限 nmax 。算法步骤如下:
(1)第一阶段步骤1:输入预处理。
对两周一送客户 C⋅B={i∣fi=2} 进行初始周次分配,随机选取50% 的两周一送客户作为单周配送,剩余 50% 的两周一送客户作为双周配送;
为了衡量客户在单位周期内的平均负载贡献,定义周期等效需求量为:

步骤2:初始化聚类中心。
选择 K 个客户作为初始聚类中心,采用 K-means ++ 策略改进初始点的空间分布,并考虑等效负载 qieff 以增强初始化的均衡性。
步骤3:迭代执行客户分配。
客户 i 仅可被分配至满足以下约束条件的簇 k 。
Qmin≤Qk+qieff≤Qmax
nk+1≤nmax
将不满足约束条件的簇从分配候选集中移除,在满足约束的候选集中,将客户 i 分配至代价函数最小的簇。

d(i,ck)2=(xi-xk)2+(yi-yk)2
代价函数中,第一部分是空间紧凑项,表示客户 i 到聚类中心 ck 的欧式距离平方;第二部分是簇内负载均衡性项,表示客户 i 加入后,簇 k 的总负载与理论平均负载
之间的差异。
步骤4:更新聚类中心。
更新每个簇的几何质心:

步骤 5:重复执行步骤 3 与步骤 4,直到聚类结果收敛,输出第一阶段的聚类结果 C={C1,C2,...,CK} 。
(2)第二阶段
为进一步提升区域路径结构的跨周期稳定性与负载均衡性,在第一阶段完成客户空间聚类后,本文设计第二阶段优化策略,对各簇中双周客户的服务周次(第一周或第二周)进行再分配,并在必要时允许簇间客户迁移,以降低周期异构带来的任务波动性,增强配送系统的调度一致性。
步骤1:数据预处理
输入第一阶段的聚类结果。两周一送客户随机分配至第一周、第二周。
步骤2:簇内客户服务周次优化。
逐个客户 i 尝试将其服务周次从 wi 切换为 3-wi ,若该客户当前属于第一周,则会切换到第二周,若属于第二周,则会切换到第一周;若该操作使目标函数下降,则接受该变更,否则回滚,加入模拟退火扰动,允许以一定概率接受劣解,以跳出局部最优;重复所有客户,直到目标函数收敛或达到最大迭代轮数。
步骤3:跨簇迁移调整。
为增强全局优化能力,本文进一步引入双周客户跨簇迁移机制,允许地理上更接近其他簇中心的双周客户重新划分簇,以提升两周间全局负载结构的对称性。
从所有双周客户中,选出当前位置与其他簇中心较近、所在簇负载波动较大的客户i ,尝试将客户 i 从当前簇 Ck 迁移至目标簇 Ck′ ,在目标簇内尝试不同的服务周次,分别计算迁移后不同周次的目标函数值可,若目标函数下降则接受迁移。
步骤 4:每次跨簇迁移后,重新执行簇内客户服务周次优化,交替执行指导整体目标函数收敛。
图 两阶段 K-means 算法流程图

3.2 路径优化求解算法
自 适 应 大 规 模 邻 域 搜 索 算 法(Adaptive Large NeighborhoodSearch,ALNS)是一种基于局部搜索的启发式算法,其核心思想是通过动态地选择不同的局部搜索操作来探索解空间,并通过反复调整解的结构来寻找最优解。
本文设计的ALNS 算法求解路径优化模型的主要步骤如下:
步骤1:构造初始解。
由于 ALNS 算法对初始解的依赖性不强,因此可以优先考虑初始解算法的求解效率,本文选用Jung[] 等人提出的最近车辆调度启发式算法来获得一个可行解作为ALNS 的初始解;
步骤2:毁坏操作。
从当前解出发,通过轮盘赌法在移除算子中选择一个,对当前解的结构进行扰动,从而生成邻域解,移除算子包括随机毁坏算子、最大开销毁坏算子以及Shaw 毁坏算子;
步骤3:修复操作。
由于大领域扰动通常会当前解的部分结构被删除或改变,修复操作通过轮盘赌法在修复算子中选择一个,对解进行修复,确保满足问题的约束条件,最终得到一个新的可行解,修复算子包括随机修复算子、贪婪修复算子以及后悔值修复算子;
步骤4:更新参数。
引入模拟退火机制算法作为解的接受准则和停止策略,候选可行解的接受概率公式如下所示:

其中, Scur 表示当前解, Snew 表示候选可行解, T 是常数,表示当前的温度。
本文采用的模拟退货策略在迭代一定次数后会重新设置初始温度,
( 0),在初始温度条件下,即使候选可行解比当前接要差,仍然有 50% 的概率被接受,以此增强算法的领域搜索能力。参数 μ 为初温度控制参数,本文将 θ 设置为 0.5
通过某主要城镇区域的不同策略下的线路情况来展示不同策略下的工作时间均衡情况。
图 ALNS 算法流程

4 算例分析
配送车辆包括两类车型:A 类车4 辆,载重上限6000 条;B 类车2 俩,载重上限7000 条。服务时间参数取值分别为客户停留服务时间150 秒,每50 条烟装载时间30 秒。
本文以湖北省黄冈市烟草配送中心农网配送区域为作为案例,基于其历史订单,评估本文提出的区域划分与路径协同优化算法的效果。为构建准确的地理空间模型,本文通过高德地图开放API 获取各配送点之间的实际行驶距离与时间。各客户的配送需求量参考黄冈市烟草公司2024 年4 月至6 月的历史销售记录。
策略 A:本文所提出的两阶段 K-means 聚类与 ALNS 算法,采用差异化周次配送策略;
平均路径距离较传统方案降低了 20.8% ,平均工作时间缩短约 11.7% ,所需配送线路数量减少3 条。这表明本文方法在优化路径经济性的同时,有效整合了调度资源,提升了配送效率。策略B 虽然由于采用了差异化周次配送策略,相较于传统方案也有所核心指标均有所优化,但是由于传统 K-means 算法只能先聚类再划分周次,所以优化效果不如本文提出的方法。
图2 部分线路求解结果

图1 部分区域划分结果

文分别采用以下三种策略进行对比:
策略 B:传统 K-means 与本文提出的 ALNS 算法,采用差异化周次配送策略;
策略C:优化前的历史路径配送数据,未采用差异化周次配送策略。
表2 部分线路不同策略的工作时间

选取 4 月至 6 月其中两周作为算例,仅在工作日进行配送工作,一辆车一周工作 5 天,即一辆车一周可以承担 5 条线路的配送任务。聚类目标设定为 6 个区域,每个区域最大客户数不超过 120,最大周期等效载重不超过 30000 条,双周期优化迭代次数上限设为 500 轮,ALNS路径求解设置初始温度参数 μ=0.2 ,温度退火系数为 0.98,运行最大迭代次数为1000 轮。
表1 不同策略的指标对比

从两周配送线路规划的全局指标来看,策略A 在三者中表现最优:
策略 A 在多数路线的双周期工作时间差异明显小于策略 B,且整体优于策略 C 的单周期人工规划结果。这体现出第二阶段周期优化机制在提升路径结构稳定性、削减周期间波动方面的显著作用,有效解决了“同车不同周负荷悬殊”的问题。
5 结论
本文针对当前烟草物流配送系统中普遍存在的路径设计粗放、工作任务不均、车辆资源利用效率低下等现实问题,提出了一种融合区域划分与路径优化的协同优化策略,构建了面向周期负载均衡的多车型路径规划模型,并设计了“两阶段双周期感知式 K-means 聚类 +ALNS 路径优化”的分解求解框架,实现了路径经济性与任务均衡性的有机统一。
在区域划分方面,本文引入客户配送频率与周期等效需求的概念,构建了带装载与客户数约束的聚类目标函数,提升了区域划分的空间紧凑性与装载可行性;在周期优化方面,通过簇内周次切换与跨簇迁移机制,实现了双周期任务负载的动态平衡;在路径规划方面,综合考虑多车型配置、载重限制与工作量均衡性约束,建立了完整的配送路径优化模型,并采用自适应大邻域搜索算法进行高效求解。
算例结果表明,所提出方法在降低配送总距离与使用车辆数的同时,显著改善了路径间的工作量均衡性,验证了方法在烟草物流典型场景中的有效性与适用性。该研究不仅为烟草行业的智能配送提供了可实施的优化工具,也为多周期、多约束、多车型物流系统的优化调度提供了新思路。
参考文献
1. 杨楷.Q 烟草公司的配送路径优化问题研究[D]. 厦门大学,2022.DOI:10.27424/d.cnki.gxmdu.2022.003264.
2. 安健 . 基于 ALNS 算法的城市商品配送车辆路径问题研究 [D].南京大学 ,2020.DOI:10.27235/d.cnki.gnjiu.2020.000140.
3. 李晨睿 , 王永君 , 董余 , 等 . 考虑工作量均衡的区域划分方法及烟草配送路径优化研究 [J]. 工程管理科技前沿 ,2024,43(06):17-24.
4. 朱培芬 , 汉吉庆 , 杨华龙 , 等 . 基于改进 K-means 算法的烟草配送区域划分 [J]. 物流工程与管理 ,2009,31(06):84-85.
5. 谷炜 , 张群 , 胡睿 . 基于改进 K-means 聚类的物流配送区域划分方法研究 [J]. 中国管理信息化 ,2010,13(24):60-63.
6. 高学东 , 谷淑娟 , 白尘 , 等 . 考虑物流配送路网结构及配送量约束的客户聚类算法 [J]. 系统工程理论与实践 ,2012,32(01):173-181.
7.An Algorithm to Solve Heterogeneous Vehicle Routing Problem With Second Trip
8.Decomposition-based Matheuristics for Green Vehicle Routing Problems
9.A large neighbourhood based heuristic for two-echelon routing problems
10.MacQueen J. Some methods for classification and analysis of multivariate observations[C]// Proceedings of the Fifth Berkeley Symposium on Mathematical Statistics and Probability. Berkeley, CA: University of California Press, 1967: 281–297.
第一作者:程功,男,1989 年 10 月,汉族,湖北省武汉市,大学本科,职称:公司律师,研究方向:政策法规、物流管理、模型算法
第二作者:王海滨,男,1975 年 9 月,汉族,湖北省武汉市,大学本科,职称:企业信息管理师,研究方向:软件工程、模型识别及算法、物流管理