数显游标卡尺测量结果的不确定度评定及常见的故障维修
刘灵文
泉州市计量所 泉州 362400
The Evaluation of Measurement Uncertainty and Common Fault Maintenance for Digital Display Vernier Calipers Abstract: This paper briefly describes the evaluation of uncertainty for the measurement results of digital display vernier caliper, and based on the experience of verifying and maintaining the digital display vernier calipers for many years, summarizes some common faults and maintenance methods of the digital display vernier calipers. Key words: digital display vernier calipers evaluation of measurement uncertainty fault maintenance
数显游标卡尺的尺身装有高精度齿条,齿条运转带动圆形栅格片转动,用光电脉冲计数原理,将卡尺的位移量转化为脉冲信号,通过计数器和显示器将测量结果显示在数显屏幕上。与传统的游标卡尺相比,具有测量分辨率更高,测量效率更快,读数更直接清晰以及保养更加便捷等优点,被广泛应用于各行各业零部件及样品的内径、外径、深度、台阶及基本尺寸的测量。其测量结果的不确定度评定如下:
一、概述
1、测量方法:依据 JJG30-2012 通用卡尺检定规程;
2、环境条件:温度( 20±5 ) C ,相对湿度 ⩽80% ;
3、测量用标准:5 等量块,其中心长度尺寸的不确定度不大于( 0.50+5×10-6L ) μm ;
4、被检对象:测量范围为(0~1000) mm ,分度值为 0.02mm 的游标卡尺;
5、测量过程:对于测量范围为 (0~300)mm 的数显游标卡尺,测量点的分布不少于均匀分布的
3 点,如 ( 0~300)mm 的数显游标卡尺,其受检点为 101.2,201.5, 291.8mm ;对于测量范围为 0~
500)mm 的游标卡尺,测量点的分布不少于均匀分布的 6 点,如受检点为 80,161.2,240,321.50,
400, 491.8mm 。被检游标卡尺各检定点的示值误差以该点读数值(示值)与量块中心长度尺寸(实际
值)之差确定。
二、测量模型
ΔL=L-Lb
式中: 为游标卡尺的示值误差;
L 为游标卡尺示值;Lb 为 5 等标准量块的中心长度尺寸。三、输入量的标准不确定度评定1、重复性引入的标准不确定度 u1 的评定
任取一件分辨率为 0.01mm 的 (0~500)mm 数显游标卡尺,对其 491.8mm 的示值误差在重复性条件下连续测量 10 次,测得值如表 1 所示。
表 1 单位:mm

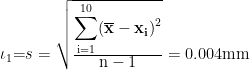
其重复性引入的不确定度
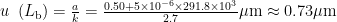
数显游标卡尺分辨率引入的不确定度,采用 B 类方法进行评定。
估计其为均匀分布,包含因子为
,则其标准不确定度为
以上两者取最大值,所以取 u (L)
任取一件分辨率为 0.01mm 的 (0~300)mm 数显游标卡尺,对其 291.8mm 的示值误差在重复性条件下连续测量 10 次,测得值如表 2 所示。
表 2 单位:mm

其重复性引入的不确定度
数显游标卡尺分辨率引入的不确定度,采用 B 类方法进行评定。估计其为均匀分布,包含因子为
,则其标准不确定度为
以上两者取最大值,所以取
2、量块中心长度偏差引入的标准不确定度 u2 的评定
输入量 Lb 的不确定度主要来源于量块中心长度尺寸的不确定度,可根据 JJG146-2011 量块检定规程,采用 B 类方法进行评定。测量用的 5 等量块其中心长度尺寸的测量不确定度不大于:( 0.50+5×10-6L ) μm (L——测量长度,单位: μm ),包含因子取 2.7 所以当 L=291.8mm 时标准不确定度 u (Lb) )为
当 L=491.8mm 时,标准不确定度 u (Lb) 为
3、卡尺和量块温度差引起的标准不确定度分量 u3 卡尺和校准量块间温差为
,估计均匀分布,k 取
,故:
当 L=291.8mm 时, u3=0.0066×291.8≈1.93μm 当 L=491.8mm 时, u3=0.0066×491.8≈3.35μm
4、卡尺与量块线膨胀系数差在温度偏离标准温度 20% 时引起的不确定度分量 u4
卡尺与量块两者热膨胀系数差在 ±2×10-6/9 范围内,估计三角分布,包含因子
,检定室温度与标准温度差以 5℃计,故:
当 L=291.8mm 时, u4=0.0041×291.8≈1.20μm 当 L=491.8mm 时, u4=0.0041×491.8≈2.02μm 四、合成标准不确定度的评定
1、灵敏系数
测量模型 ΔL=L-Lb 灵敏系数c
2、标准不确定度汇总表 3 所示
表 3

3、合成标准不确定度的计算
优于各输入量彼此独立不相关,合成标准不确定度可按下式计算:
uc2=u12+u22+u32+u42
所以分辨率为 0.01mm 的数显游标卡尺:
当 L=300mm 时, uc(ΔL)=4.7μm
当 L=500mm 时, uc(ΔL)=5.8μm
五、扩展不确定度的评定
扩展不确定度 U=k⋅uc(ΔL) ,取 k=2,则
分辨力为 0.01mm 的 (0~300)mm 数显游标卡尺的扩展不确定度 U=0.01mm , k=2
分辨力为 0.01mm 的 ( 0~500) )mm 数显游标卡尺的扩展不确定度 U=0.02mm , k=2
六、常见故障及维修
作为现代精密测量领域的核心工具,数显游标卡尺集成了机械精密制造与电子传感技术,在机械加工、航空航天、汽车制造等行业中扮演着至关重要的角色。然而由于操作环境的复杂性和使用的频繁性,数显卡尺经常出现电子系统紊乱、机械结构磨损等故障,这些故障直接影响了测量精度和设备的使用寿命。其常见的故障及维修办法有以下几种:
1、数字显示屏出现闪烁现象,数值显示不稳定。此问题主要源于显示屏供电电压不足以及纽扣电池电压偏低引起的,当电池电压低于 1.2V 时,就会出现此类情况。解决此问题,仅需更换电池即可,注意更换时需用镊子避免手指油脂造成短路。
2、数值保持不变,出现停滞现象。这是由于外部强烈的电磁干扰信号影响所致。解决措施需将数显游标卡尺内的纽扣电池取出,静置一至两分钟后重新安装。有时需反复更换电池,或者用消磁器距卡尺 10cm 往复扫动几次,方能消除停滞现象。
3、数显屏幕数字错乱。此类故障发生频率较高,约占数显游标卡尺电子故障的 60% 以上,一般是由以下三个主要原因引起的。
首先,问题可能源于电子组件的损坏或电池电量不足。此类问题通常可通过更换受损的电子组件或电池来得到解决。
其次,容栅传感器保护膜若因受潮或沾染油脂类液体而出现此类问题,可采取以下措施:使用干燥且洁净的棉布,或蘸有微量纯净水或酒精的棉布,轻柔擦拭尺身及保护膜表面,务必确保擦拭后完全干燥,即可有效解决该问题。
其三,因容栅传感器保护膜下覆铜板定栅条表面发生的腐蚀氧化现象,形成少量黑点,导致电信号的传输受到干扰。针对此情况,需揭开保护膜,采用高级橡皮或金相砂纸对栅条铜皮表面进行彻底清理,并更换新的保护膜。这是由于旧的保护膜在撕开后再次粘贴,易产生不平整现象,进而影响测量精度。
4、量面及侧面磨损。此类磨损通常由使用不当或磕碰造成。调修过程可参照普通游标卡尺的修复步骤进行,需特别注的是在修复前应先将数显组件拆卸,同时须避免对保护膜表面造成压痕或污染。
七、结束语
本文着重介绍数显游标卡尺测量结果不确定度的评定方法、常见故障现象及其有效的维修方法。该论述对从事数显游标卡尺检定与维修的专业人员具有一定的参考意义。
参考文献
[1]JJG30-2012 通用卡尺检定规程[S].北京:中国质检出版社,2012.
[2]JJF1059.1-2012 测量不确定度评定与表示[S].北京:中国质检出版社,2013.