Science and Technology
关于幂级数和函数求解方法解析
席祥祥 王涛
郑州科技学院基础部 河南郑州 450064
摘要:殊性其和函数求解的方法也比较多。本文主要根据无穷级数的解析性来讨论其和函数的具体求法。
关键词:幂级数; 收敛域 ; 和函数;微分方程


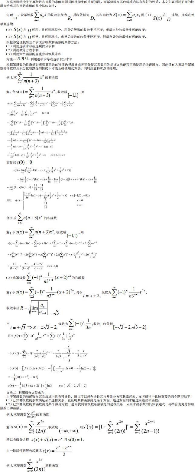
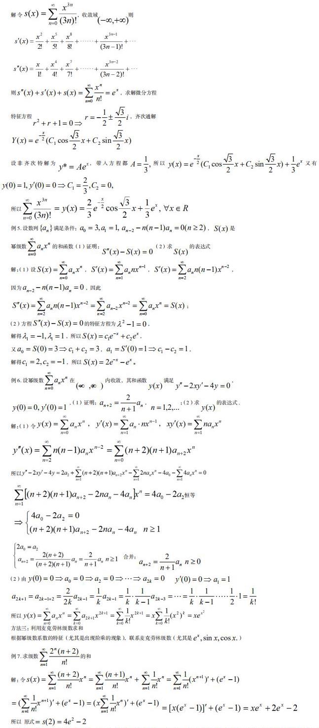
虽然求幂级数和函数的方法有很多,但是每一类方法解决的具体问题是不一样的,因此在做题的时候应该认真审题找到题干中所给的具体条件,进而选择合适的方法进行处理。
参考文献:
[1]同济大学数学系.高等数学(上、下)[M].北京:高等教育出版社,2014.
[2]李正元,李永乐,袁荫棠,等. 数学复习全书 ( 理工类 ) [M]. 北京 : 国家行政学院出版社,2020
[3]吉米多维奇.数学分析习题集解题[M].济南:山东科技出版社,1980
[4]孙清华,孙 昊.数学分析内容、方法与技巧(上、下)[M].武汉:华中科技大学出版社,2003
作者简介:王席祥祥(1989--),男,汉族,河南省沁阳人,副教授,理学硕士,研究方向为统计学、统计模型。
王涛(1982--),男,汉族,安徽省亳州市人,副教授,理学硕士,研究方向为基础数学;