信阳城区颗粒物变化特征与相关气象因素研究
张占魁
信阳市气象局 河南信阳 464000
关键词:
;污染特征;气象要素
0 引 言
近年来,随着我国工业化与城市化进程持续加速,能源消耗量显著增加,导致大气污染物排放压力加剧,其中颗粒物(如 PM )污染问题尤为突出。研究表明,气象要素的变化是大气污染物浓度波动的重要原因,气象条件制约着大气污染物的扩散和转化过程,从而影响污染物的浓度及分布。大气污染还与大气层结状态息息相关,由于大气的稳定程度直接影响湍流的发生、发展,进而影响污染物的扩散、累积,故决定稳定度大小的逆温层厚度、强度和大气混合层高度等因素都会给大气污染带来显著影响。一般来讲,在污染排放源较固定的情况下,颗粒物浓度处于高值,是逆温、低压、高湿、小风、稳定大气层结、低混合层厚度和弱降水等多种气象因子综合作用的结果。
吴兑等研究发现珠江 高振翔等发现江苏省 PM 和 PM10 风风向上易出现较高的 PM10 污染程度的影响机 安市 PM和 O 分别以 原等传统污染带以 研究较少。信阳地区的 上游,大别山北麓 格的要求。因此 相关气象因素研究,分析颗粒 治提供理论依据和数据支持。
1 资料与方法
颗粒物浓度数据来自于信阳市主城区四个国家环境质量监测站点,为 PM 、 PM10 逐小时浓度资料,时间段为 2020 年 -2024 年。取这四个站点 PM2,5 、 PM10 浓度的均值来代表信阳市城区的 PM2.5、 PM10 浓度。根据《环境空气质量标准》(GB 3095-2012),信阳市区为二类区,PM2.5 日达标限值为 75μg/m3 ,年平均限值为 35μg/m3 ;PM10 日达标限值为 150μg/m3 ,年平均限值为 70μg/m3, 。为排除干扰,剔除沙尘天气数据。气象数据采用信阳国家基本气象站的气压、风向、风速、相对湿度、小时降水等,时间与颗粒物资料时间保持一致。
2 结果
2.1 PM2.5 与 PM10 年际变化特征
由表 1 可知,2020-2024 年信阳市 年均浓度高低高高低,分别为 40. 5μg/m3 、39.1μg/m3、40.3μg/m3、41.3μg/m3、 37.9μg/m3 PM2.5 3μg/m3 ,2024 年 PM 浓 度 最 低, 为31.9μg/m3 ;日均超标率分 年 PM2.5 浓度最高,但与其对应的超标率 11.0% 要低于 202 尽管 2020 年超标天数多于 2023 年,但 2023 年信阳超标天数 二级达标城市的第一年,其 PM2.5 年均浓度和超标率均为近五年最 的举措有了一定成果。
PM10 年均浓度近五年均达标,呈低高低高低的态势,分别为 64.3μg/m3、 67.7μB/m3 、63.9μg/m3、67.0μg/m3、62.μg/m31,其中 2021 年 PM 浓度最高,为 67.
,2024 年浓度最低,为 62.
;日均超标率 3.0%、6.8%、3.8%、7.7%、2.7%,同样 2021 年 PM10 浓度高于 2023 年,但超标率却低于 2023 年,说明2021 年信阳市超标天数里污染程度相对更重。2024 年PM10 浓度及超标率为近五年最低。
2020-2024 年信阳市 PM 日均浓度超标率高于 PM10 ,说明细颗粒物污染更严重。
2.2 PM 与 PM 浓度季、月变化特征
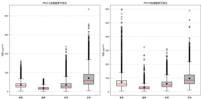
冬季 PM2.5 浓度最高,且明显高于其他季节(图 1),夏季 PM2.5 浓度最低,春季 PM2.5 浓度高于秋季。箱线图中冬季箱体高、长、异常值多,数据离散程度大,说明冬季浓度波动范围广,污染过程多。说明冬季 PM2.5污染更严重,夏季相对清洁。
冬季PM10 浓度最高,春季次之,夏季最低。冬季箱体高、中位数大;夏季箱体矮,污染程度低。春季箱体长、异常值多,离散程度大,浓度波动大。
无论 PM2.5 还是 PM10 ,冬季都是污染高峰,夏季是污染低谷。冬季多冷空气活动,盛行北风,信阳颗粒物污染程度最高,这可能与上游取暖季烧煤、逆温、静风、静稳天气等因素有关。夏季信阳颗粒物污染程度低,这是因为夏季气温高,大气层结稳定程度差,对流活动旺盛,有利于大气污染物扩散,降水丰富,有利于污染物沉降。而春季 PM10 浓度离散程度最大,这与春季多大风天气、沙尘活动频繁有关。
图 1 PM2.5(左)、 PM10 (右)浓度随季节变化箱线图

2020-2024 年信阳市颗粒物浓度月变化基本呈现“V”型变化,最低值基本出现在 7 月(2020 年出现在 8月),最大值均出现在 1 月, M2,5 与 PM10 浓度 1-7 月整体呈下降趋势,8 月以后浓度持续升高,到冬季 1 月,PM2.5 与 PM10 浓度达到全年最高值。 PM10 浓度在 2、3、4 月有起伏变化,这也与上图春季 PM10 浓度离散程度最大相对应,与春季多大风天气、沙尘活动频繁相对应。
图 2 2020-2024 年各月 PM2,5 (上)、 PM10 (下)浓度变化图

2.3 PM2,5 与 PM10 日变化特征
图 3 为 PM2.5 与 PM10 的日变化特征,两类颗粒物变化特征较为接近,均为双峰双谷型。PM2.5 浓度在 22 时后开始下降,早晨 6 时达到第一个谷值,7 时又升至第一个峰值,7-9 时浓度没有明显变化,10 时后开始下降,16 时达到全天的最低谷,随后一路上升至 22 时,此时是全天的 PM2.5 浓度最高峰; PM10 变化特征类似,早晨 6时达到第一个谷值,9 时升至第一个峰值,15 时降至最低谷,22 时升至最高峰。第一个峰值发生在信阳市上班早高峰附近,短时间车辆密度大,污染排放多,导致颗粒物浓度增加;随后气温升高,太阳辐射强烈,近地层大气湍流加强,污染物扩散能力加强,颗粒物浓度降低,第二个峰值发生在晚高峰后的前半夜,气温下降,湍流活动减弱,污染物扩散能力减弱,下班晚高峰又加重了污染程度,导致颗粒物浓度峰值出现。晚上 22 时后人类活动减弱,颗粒物浓度下降。
图 3 PM2.5(左)、 PM10 (右)小时浓度日变化图

3 颗粒物浓度与气象条件的关系
3.1 颗粒物浓度同气象要素相关性分析
本研究采用皮尔逊相关系数来分析 2020-2024 年四季 PM2.5、 PM10 同温度、海平面气压、相对湿度、小时降水、风速的关系。
由表 1 中可得,PM2.5 与温度在各个季节都呈显著负相关,温度越高,大气层结越不稳定,越容易对流,扩散条件越好, PM10 除秋季外,也与温度显著负相关; PM10 在各个季节都与海平面气压呈显著正相关,PM2.5 除夏季外,与海平面气压显著正相关,当区域受高压控制时,整层大气以下沉运动为主,气团稳定少动,不利于污染物扩散;PM2.5 在冬春季节与相对湿度呈显著正相关关系,在秋季则呈显著负相关; PM10 除春季与相对湿度正相关外,其他季节都与相对湿度呈显著负相关; PM2.5 、 PM10 在各个季节都与降水呈负相关,除夏季外,均为显著负相关,降水降水越大,颗粒物浓度越小,降水对于颗粒物的作用主要是以沉降作用来降低污染物浓度;PM2.5、PM10 除夏季外,其他季节都与风速呈显著负相关,风对污染物的影响主要是以传输、增加扩散条件、卷起地面沙尘等。
表 1 不同季节 PM2.5、 PM10 浓度同气象要素相关性

3.2 风向风速同颗粒物污染发生概率分析
由于信阳本地排放源较少,因此着重分析颗粒物污染概率(颗粒物小时浓度超过二级标准的发生概率)同风向风速的关系; 结果表明,当地面风向为北时,发生PM 污染的概率最大,为2.51% ;西北风次之,为2.43% ;其次是西风和东北风,而东南风发生污染概率最小;各个风向上发生污染概率较大的风速均集中在 0-2m/s 和0-4m/s 的区间,超过 6m/s 则基本没有污染事件发生;在地面盛行西风、风速小于 2m/s 的情况下,发生 PM2,5 污染的概率最大; PM10 情况与 PM2,5 情况完全一致。
4 结论
(1)2020-2024 年信阳市 PM 年均浓度呈高低高高低波动,2023 年浓度最高、2024 年最低,达标率 2024年最高; PM10 年均浓度均达标,呈低高低高低变化,2021 年最高、2024 年最低。整体来看, PM2,5 日均超标率高于 PM10 ,细颗粒物污染更突出。2024 年作为信阳创二级达标城市第一年,颗粒物污染程度为近五年最低。
(2)颗粒物浓度季变化情况为冬季浓度最高,夏季浓度最低,春季 PM 浓度离散程度最大,这与春季多大风天气、沙尘活动频繁有关;信阳市颗粒物浓度月变化基本呈现 4∇′′ 型变化,最低值基本出现在 7 月,最高值出现在 1 月,PM 浓度在 2、3、4 月有起伏变化,对应春季 PM10 浓度离散程度最大;颗粒物浓度日变化特征均呈现双峰双谷型,与上下班早晚高峰及气温日变化有良好的对应关系。
(3)颗粒物浓度与气象要素相关性存在季节性差异, M25 与温度在各个季节都呈显著负相关,PM 除秋季外,也与温度显著负相关;PM10 各个季节与海平面气压呈显著正相关,PM2.5 除夏季外,与海平面气压显著正相关;PM 在冬春季节与相对湿度呈显著正相关,在秋季则呈显著负相关;PM 除春季与相对湿度正相关外,其他季节都与相对湿度呈显著负相关;PM2.5、PM10 在各个季节都与降水呈负相关;PM2.5、 PM10 除夏季与风速呈弱正相关外,其他季节都与风速呈显著负相关。
(4)当地面风向为北时,发生颗粒物污染的概率最大,西北风次之,再次是西风和东北风,东南风发生污染概率最小;风速在 0-2m/s 和0-4m/s 的区间发生颗粒物污染的概率较大,超过6m/s 则基本没有污染事件发生;在地面盛行西风、风速小于2m/s 的情况下,发生颗粒物污染的概率最大。
参考文献:
[1] 王文兴,柴发合,任阵海,等 . 新中国成立 70 年来我国大气污染防治历程、成就与经验 [j]. 环境科学研究,2019,32(10).
[2] 李小飞,张明军,王圣杰 , 等 . 中国空气污染指数变化特征及影响因素分析 [J]. 环境科学,2012,33(6).
[3] 郭勇涛,余峰,王式功,等 . 兰州市空气质量状况及与常规气象条件的关系 [J]. 干旱区资源与环境,2011,25(11).
[4] 郭倩,汪嘉杨,周子航,等 . 成都市一次典型空气重污染过程特征及成因分析 [J]. 环境科学学报,2018,38(2).
[5] 苟玉清,许东蓓. 成都市2017 年12 月下旬重污染过程及气象条件特征[J]. 干早气象,2018,36(6).
[6] 杨静,李霞,李秦,等 . 乌鲁木齐近 30a 大气稳定度和混合层高度变化特征及与空气污染的关系 [J],干早区地理,2011,34(5).
作者简介:张占魁(1997 年—),男,河南新乡人,助理工程师,本科学历,从事气象预报研究