小学语文低段趣味识字教学法的实践与创新研究
万春艳
重庆市江北区新村嘉禾小学校 重庆 400020
前言:
在小学语文低段识字教学活动设计组织中,通过将趣味教学法的灵活应用,能够给学生之后的阅读、写作能力发展提供支持。从小学生心理特点这一角度来讲,通过趣味教学环节的精心设计,可以让学生在更有趣的环境中轻松愉快的学习,全面提升课堂参与度,促进识字学习效果与效率的显著提升,为小学低段语文教学质量提供保障,顺利落实各阶段教育培养目标。
一、猜读识字,激活兴趣
小学低段的学生一般都是以形象思维、直观思维为主,所以,图画类的素材可以快速集中学生课堂注意力,同时也会产生很大的兴趣。基于此,教师可在低段语文课上引用教材中的插图开展猜读识字,让学生在此期间寻找识字灵感,对汉字的含义做出猜想,并在学习中对汉字指代的事物产生更深刻的感悟,发展认知能力[1]。
比如:以《小蜗牛》为例,这是一篇没有完全注音的课文,可作为猜读识字的有效资源,这篇文章运用了很多幅蜗牛的插画作为背景,以此来将和文章内容有着密切联系的可视化素材展示出来。在识字教学活动开展中,可指导学生对插画内容做出细致观察分析,引导学生结合现有汉字知识与识字经验,对生字的含义进行猜测。如,三幅插图当中出现了“蜗牛”,可联系插图展现的内容,还有文章标题来对“蜗”的读音、含义进行猜读,同时也能够大致了解一下课文内容。在学生掌握了猜读的方法后,利用课后的图画、加点字等资源来开展识字训练。
按照这类方式,教师可以将更多的插画资源搜集整理出来,丰富之后的猜读识字教学内容,让学生将更多的视觉体验合理的转化成认知经验。且对于学生来说,积累了观察图画的方法后,也会在平时的学习生活中自然的积累更多汉字知识。这样的趣味性识字课,既可以促使学生全身心参与到后续的语文识字课上,也能够让大家在之后的学习生活中自觉的进行识字经验方法、汉字知识内容的学习积累 [2]。
二、探究规律,增强记忆
作为一种表意文字,汉字的形体有的也有深刻的含义,也有一些是可以从形体上去猜测读音的,基于此,为了帮助学生把握汉字字义、字音,教师可在趣味识字教学中,带领学生对汉字的构字规律特点做出深入探究,着重围绕汉字的字形、组字结构等要素着手,对汉字的特点做出细致分析,产生深刻记忆的同时,学生学习积累的汉字知识也会更加丰富 [3]。
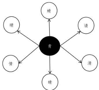
比如:以《日月水火》为例,这一文章中的“日、田、禾”是象形字,“林、森、尘”是会意字。又如:以《小青蛙》为例,其中涉及到的“青、情、请”是形声字。这些汉字都是有一定规律的,也能够为趣味识字教学活动的开展提供新的思路。特别是对于低段小学语文教材来说,其中的构字知识内容较多,且覆盖范围也很高,在具体讲解中要有意识的带领学生对汉字的构字规律做出探究。如,“青”这一形声字的教学中,就可以按照下图的方式来指导学生对添加不同偏旁后的汉字的字音、字义做出辨析。
图 1

借助上图这一形式,教师可将一个外扩式的汉字系统逐步构建出来,以此来带领学生对汉字的构字规律特点进行解构和分析,让学生在观察、推理、分析中对不同汉字之间的联系,还有汉字的层次结构做出有效把握。还可以联系“字不离词、词不离句”的语境学习理论,引导学生逐步认识到汉字的含义也会因为语境不同而产生一些变化。如,“情”在“心情”当中表示的是心理活动,而在“友情”当中表示的则是人际关系,要想做到对字义的精准理解,还需要围绕具体的词句来实现。
另外,可将汉字的构字规律视为识字要点,引入谜语识字法来增加识字教学趣味性,将汉字的构字、组词规律展示出来,这样在增强记忆的同时,也可帮助学生逐步提升识字能力。比如:以《荷叶圆圆》为例,这节课中的“晶”字,在教学中就可以引入“天上挂着一个太阳,地下落着两个太阳”这一趣味化谜语,鼓励大家开展识字挑战,让学生在识字中对“晶”这个字的构字规律、主要组成有准确把握。仿照这一形式,教师也可在之后的识字教学中围绕汉字构字规律特点来进行新颖有趣谜语的自主创编,增加与学生之间的互动交流,让大家在谜语的创编和猜当中掌握更多汉字的规律,积累丰富汉字知识。这样的识字过程对学生来说不仅是新颖有趣的,也可落实“授之以渔”的任务,为学生之后的趣味识字带来助力。
三、巧用导图,创新方式
在思维导图的助力下,教师可以将识字教学的趣味性充分突显出来,同时也可更清晰的进行汉字规律的展现,完成汉字框架的搭建,带领学生创新识字方式,更好把握汉字特征。以图 2 为例,教师可围绕某一汉字为核心来进行思维导图的绘制,帮助学生逐步增加汉字积累量。在这一识字体系构建中,学生既可以将“苦”字的读音理清楚,也可完成字义的辨析,有助于汉字积累量的进一步增加。另外,也可以借助思维导图来帮助学生将汉字的组字规律、字形结构梳理好,让学生在识字学习中对汉字的基本构成元素有准确认识。又或是从汉字的字理知识入手,带领学生运用思维导图来进行汉字历史演变过程的溯源,让更多学生对识字规律、方法有更好把握。通过鼓励学生在识字中进行各种类型、功能的思维导图的绘制,既可以创新识字方式,也有助于识字效率的显著提升。
结语:综上所述,识字教学不仅仅是小学阶段语文教学的重要组成,同时也能够为学生之后更深层次的开展语文知识的学习探究做好铺垫。因此,在之后的低段识字教学中,可从小学生语文基础、认知特点入手来进行趣味元素的恰当引入,在多元化、趣味性的方式来进行各个教学环节的设计,再加上先进教学手段的支持来促进识字教学趣味性、有效性的显著增强,为学生素养能力综合发展提供支持。
参考文献:
[1] 顾晓香 . 趣味教学 快乐识字——新课标下小学语文低年级趣味识字教学的开展与落实 [J]. 小学生 ( 下旬刊 ), 2025, (02): 94-96.
[2] 陈冰星 . 趣味识字教学法在小学语文低学段教学中的有效应用 [J].教学管理与教育研究 , 2025, 10 (01): 97-99.
[3] 杨建杰 . 落实“双减”,趣味识字——小学语文“趣味识字课堂”的打造策略 [J]. 知识文库 , 2024, 40 (13): 12-15.