基于核心素养的高中数学教学的教学设计
夏春燕
重庆三峡学院 重庆万州 404120
引言
在教育深化改革的时代背景下,数学学科核心素养的培养已成为高中数学教学转型的必然趋势。数学学科核心素养涵盖数学抽象、逻辑推理、数学建模、直观想象、数学运算和数据分析六个维度 [1]。在高中数学教育中,核心素养强调学生的理解力、分析力、创新力和实践力,对这些素养的培养不单数学知识的累积,更要通过数学教育培养学生的逻辑思维﹑问题解决能力和批判性思维[2]。而如何将数学核心素养有效的贯穿在数学课堂之中,便成为重中之重。本文以“等比数列前 η 项和公式”为例,探讨将数学核心素养融入高中数学课堂的思考。
一、教学内容解析
1. 教材分析
《等数列的前 项和公式》处于高中数学数列知识板块的关键位置。它承接了等差数列、等比数列的概念与通项公式内容,是数列知识体系进一步拓展的重要成果,在数学知识的连贯性与逻辑性上有重大意义。该公式不仅在数学理论推导中是核心内容,在解决实际问题中也有广泛应用。其推导过程蕴含的错位相减法、分类讨论思想等,是培养学生数学思维与素养的重要素材,有助于提升学生从数学视角分析和解决问题的能力。
2. 学情分析
在知识基础上,学生已掌握等比数列的定义、通项公式等内容,对数列的基本研究方法有了一定的认知,这为推导等比数列前 7 项和公式提供了知识储备。在思维能力上,高中阶段学生的抽象思维和逻辑推理能力正逐步发展,但对于“错位相减法”较为抽象的方法,理解和自主构建仍有一定的难度。他们虽能对简单的等比数列进行观察分析,但在从特殊到一般的归纳推理以及公式证明过程中,需要教师的引导和帮助。
二、教学目标设置
本节课的教学目标设置如下:
1. 了解等比数列前 n 项和公式的推导过程,理解错位相减法的原理,熟练掌握公式的两种形式,并能根据具体题目条件准确地选择公式进行计算,理解等比数列五个量 , , , , 之间的关系。2. 能熟练应用公式解决数学及实际问题,并体会方程中“知三求二”思想,培养分类讨论思想,提升数学思维的逻辑能力与应用能力。
本节课的教学重难点设置如下:
1. 教学重点:等比数列的前n 项和公式的推导
2. 教学难点:等比数列的前n 项和公式的推导及应用
三、教学过程设计
1. 创设情境,引入新课
国际象棋起源于古代印度,相传国王要奖赏国际象棋的发明者 , 问他有什么要求 , 发明者说 :“请在棋盘的第1个格子里放1颗麦粒,在第2个格子里放2颗麦粒,在第3格子里放4颗麦粒,在第4格子里放8颗麦粒,依此类推,每个格子里放的都是前一个格子里放的麦粒数的2倍,直到第 64 个格子。请给我足够的粮食来完成上述要求”。国王觉得不难办到,就欣然同意了[3]。
问题:发明者要的是多少粒小麦?从故事里我们可以提出一个什么数学问题?
由于每个格子里的麦粒数都是前一个格子的麦粒的2 倍,且共有64 个格子,各个格子的麦粒数依次是 : 1, 2, 4, 8, 16, 32, … , 2φ 。
不难分析出发明者要求的麦粒总数就是以1 为首项,2 为公比的等比数列。
由于 Sι =1,
,因此 =2∘ -1【设计意图】通过故事引入新课,提高学习的兴趣,体会数学与生活的紧密联系。
2. 深入分析,探究公式
探究:首项为 的等比数列 {an 的前
项和是多少?方法1:错位相减法
根据等比数列的通项公式 ax=a1qs-1 , 可以得到
S=q +q+ +..+a=q +a,qg+a,q²+..+qg-¹①
qS=qg+a,g²+ag..+a,g¹+a,g②
① − ② =
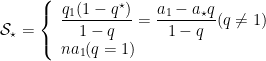
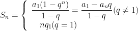
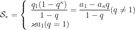
当 时, ;当 时, S*=≈
综上所述, 
方法2:累加法(古埃及人)
S=q+a+ng+..+a=q +a,g +ag+...+a_q=q +q(q ++..+a-)=a,+q(δ-a)由此可得: ,
, ;当 时, Sκ=κα 综上所述,
方法3:掐头去尾法(法国数学家拉克洛瓦)在累加法中,推导出 Sk=a1+q(Sk-ak) ,对其稍加变形得到 $\widetilde { \gamma } _ { _ \bf k } - a _ { 1 } = q ( \widetilde { S } _ { _ \bf k } - a _ { _ k } )$ ,观察这两项,你能发现什么?学生:一项是把等比数列前 δπ 项和中的首项去掉,一项是把末项去掉。教师:那么它能够给你一点推导等比数列前 δπ 项和公式的灵感吗?学生: S*=q1+a1+a1+...+a*=q1+a1q+a1q1+...+a1qκ-1Δ 到两个变形式Sκ-a1=κ-la1q+...+a1qκ-1 , Sκ-qqκ-1=a1+a1q+…+a1qκ-1 比较两式即可得到 -a1=q(Sϵ-a1q∞-1 0总结得到等比数列前 
【设计意图】学生独立思考,自主活动,从特殊到一般,从已知到未知,步步深入,自主探究等比数列前 项和公式,引导学生分类讨论,突破难点,体验学习的愉快和成就感。
3. 学以致用,解决问题例1:已知数列 是等比数列
n
例 3:已知等比数列 {ak} 的公比 q≠- , 前 项和为 S⋆ . 证明 -Sz 成等比数列,并求这个数列的公比.
【设计意图】在讲完新课知识进行巩固练习,可以及时进行知识反馈,加强对知识的理解和记忆,同时提高解决问题的能力。
4. 归纳小结,总结提升
(1)知识清单: 
在等比数列 中,前 项和公式为
(2)方法小结
通过错位相减法、累加法、比例法、掐头去尾法推导出等比数列前 项和公式;等比数列问题可以利用转化与化归思想转化为五个基本量的关系,再结合方程的思想来解决,是解决等比数列问题的通用办法。
【设计意图】从知识和方法两层面复习本节课所学习的知识,有利于帮助学生自主构建知识体系,同时明白在学习中,不仅要掌握基础知识,还要勤动脑多思考,掌握方法和技巧,提升数学核心素养。
四、将数学核心素养融入高中数学课堂的思考
将数学核心素养融入课堂,关键在于转变教学重心——从单纯的知识传授转向以素养发展为导向的学习活动设计。教师要成为学习情境的创设者、探究活动的引导者、思维发展的促进者和学习过程的评价者。通过创设真实而有意义的问题情境,组织深度的数学探究与实践,引导深刻的数学思维与交流,渗透丰富的数学文化,并实施指向素养的评价,才能真正让数学核心素养在高中课堂落地生根,培养出具备未来社会所需关键能力的人才。
参考文献
[1]. 中华人民共和国 . 普通高中数学课程标准 [M]. 北京 : 人民教育出版社 ,2020:2,4,10.
[2]. 胡兰清 . 基于高中数学学科核心素养培养的有效教学研究 [J]. 数理天地(高中版),2024(19):106-108.
[3]. 人民教育出版社课程教材研究所数学课程教材研究开发中心. 普通高中教科书 数学 选择性必修 第二册 [M]. 北京 : 人民教育出版社 ,2019:1-10.