缩略图
Education and Training

高效制冷机房优化与实施

作者

罗龙江 胡劲岩 唐强 罗再强

中建一局集团建设发展有限公司 四川成都 610000

引言

制冷机房在现代建筑中的地位举足轻重,其运行效率和稳定性对建筑的舒适性和能耗水平具有直接影响。当前许多制冷机房的运行状况并不理想,普遍存在能耗高、效率低、运行不稳定等问题。这些问题不仅增加了建筑运行的经济成本,还加剧了环境负担,与当前社会倡导的绿色低碳发展理念背道而驰。随着现代建筑对制冷需求的日益增长,高效制冷机房的优化与实施变得尤为重要。

本文依托于成都某项目中的制冷机房建设过程,通过对制冷机房设备选型优化、管道布置优化和机房安装实施全过程的进行策划、实施、总结,成功完成了高效制冷机房的的安装建设,为类似高效制冷机房的施工提供借鉴经验。

1 工程概况

某项目位于成都市高新南区,占地面积约 17600 平方米,总建筑面积约 113183.3平方米。本项目冷源选用 2 台制冷量 2813KW(800RT)的定频离心式冷水机组和 2台单台制冷量 1406KW(400RT)的变频螺杆式冷水机组,供回水水温为 7%14‰ ,冷水机组、冷冻水泵及冷却水泵设置于 B2 层冷冻机房内,冷却水由设于 A 区塔楼屋面的冷却塔集中供应,共设置 6 台低噪音横流开式冷却塔。

2 高效制冷机房优化

2.1 设备选型优化

设备选型优化对于高效制冷机房的实现至关重要。在进行设备选型时,必须综合考虑多个因素,以确保所选设备既能满足制冷需求,又能达到高效节能的目标。本项目设备选型优化主要从以下方面着手:

(1)冷水机组选型优化:优化机组蒸发器阻力,优化机组冷凝器阻力,机组电机自带变频控制系统。

(2)水泵选型优化:水泵电机效率不低于 93% ,叶轮效率不低于 85% ,增设水泵变频控制系统。

(3)冷却塔选型优化:加大冷却塔散热优化设计,选用高效冷却塔散热设备,增设风机变频控制系统。

(4)阀门选型优化:采用低阻力阀件,控制阀件的阻力 ⩽0.8mH20 ,采用多功能动态调节阀。

设备选型优化是高效制冷机房优化的关键环节。在进行设备选型时,必须全面考虑能效比、噪音、运行稳定性、可靠性和维修性等多个因素,以确保所选设备能够满足机房的制冷需求和高效节能的目标。同时,还应根据机房的实际情况和用户需求进行合理的选择,以实现最佳的制冷效果和经济效益。

2.2 空调水泵选型确认计算

冷却水循环泵组 CTP-B2-1~3 偏差 1% ,冷却水循环泵组 CTP-B2-4~6 偏差 2% ,冷却水泵经过计算与验证,设计值满足实际需求。冷冻水循环泵组 CP-B2-1~3 和CP-B2-4~6 均偏差 5% ,冷冻水泵经过计算与验证,设计值满足实际需求。

鉴于水泵均为变频水泵,因此当负荷未满足设计最大值时,水泵将采用变频方式运行,变频运行阶段,水泵特性曲线的压头及流量满足后续运行所需。

整体优化设计中,我司对管线的优化量低于 5% 。且无特殊翻弯及避让绕弯出现。因此整体对原设计管线走向影响有限。

结论:经计算,设计值满足理论计算值。因此可采用设计参数对水泵进行选型。

2.3 弹簧减震选型计算以冷却塔电机振动减振选型计算为例

(1)设备信息:

冷却塔设备型号:NX2040-3,振动周期 1500 次/分钟,风扇转速290RPM,运行重量 29319kgo

(2)数据计算:动荷载 ⋅W=Q+F1+F2=29319kg 干扰频率:f= Ωn/60=25Hz

(3)减振器选型:

弹簧减振器每台选用 16 个,安全系数 1.5,单只载荷 2748.65625kg ,减振器型号KTB-2800-A25,刚度:10 90.3324N/mm ,减振器固有频率: Δf0=3.17Hz

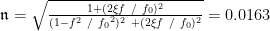
(4)减振效率计算:振动传递率 ,公式中ζ为阻尼比,钢型弹簧阻尼比极小,取值为:1.0E-05;

减振器的减振效率 T=(1-η ) x100%=98.37% 频率比: Δ⋅Δ/Δ0=7.89 ,静态压缩量: 25.0mm

(5)进行共振验算:

承受高速循环载荷减振器,频率比 f/f0 应大于 2,

频率比: f/f0=7.89{≥2

(6)隔声衰减计算:

隔声系数(衰减量) N=201g(1/(1-T))=35.76dB

(7)结论:

隔振降噪效果甚佳,不产生共振。

2.4 管道布置优化

管道布置优化在高效制冷机房设计中占据举足轻重的地位。合理减少阻力元件,管控辅助配件的质量,利用 BIM 指导施工,减少施工过程中人为误差,实现全过程督导管控,合理的管道布局不仅能够降低流体在传输过程中的阻力,减少能源消耗,能提高整个系统的稳定性和可靠性。

(1)关注管道的长度和直径。过长的管道会增加流体传输的阻力,导致能源浪费;而直径过小的管道则会限制流体的流量,影响制冷效果。因此,需要根据实际需求合理确定管道的长度和直径,以达到最佳的能效比。

(2)管道的弯曲半径也是一个重要的考虑因素。过小的弯曲半径会增加流体在转弯处的阻力,甚至可能引发涡流和湍流,进一步降低能效。为了避免这种情况,应尽可能采用较大的弯曲半径,确保流体在管道内能够顺畅地流动。

通过综合考虑管道的长度、直径、弯曲半径等多个因素,可以实现对制冷机房管道布置的全面优化。这不仅能够提高制冷机房的能效和稳定性,还能降低运行成本,为建筑的节能减排做出积极贡献。

3 高效制冷机房施工组织

施工组织作为高效制冷机房实施过程中的核心环节,为了确保施工过程的顺利进行以及最终机房的质量和性能,必须从多个方面进行细致而全面的考虑和规划。

(1)施工组织之初,需要深入了解和掌握机房的实际情况。这包括机房的尺寸、布局、设备配置等基本信息,以及施工现场的环境条件、交通状况等实际情况。只有充分了解这些信息,才能制定出符合实际的施工流程和质量控制措施,确保施工的顺利进行。

(2)制定施工流程时,应着重考虑各个施工环节之间的衔接和配合。例如,设备的安装顺序、管道的铺设路径等都需要进行精心的设计和规划,以避免施工过程中出现混乱和延误。同时,还应根据施工进度的要求,合理安排施工人员和施工设备,确保施工效率的最大化。

(3)质量控制措施的制定也是施工中的重要一环。为了确保机房的质量和性能达到预期目标,必须对施工过程中的各个环节进行严格的质量控制。这包括对施工材料的质量检查、对施工工艺的监督和指导、对施工质量的定期检测等。通过这些措施的实施,可以有效地提高施工质量,降低机房运行过程中出现故障的风险。

4 高效制冷机房调试运行

调试运行阶段是高效制冷机房实施过程中的关键环节,其目的在于验证机房设计的合理性和确保机房的稳定运行。这一阶段涉及对机房内所有设备和系统的细致检查与调试,以确保各部分均能按照设计要求协同工作。

在调试运行开始前,必须对机房内的设备、管道及控制系统进行全面的检查。控制系统的检查则包括验证传感器、执行器及控制系统硬件和软件是否配置正确,功能是否正常。

调试运行需严格按照预先制定的调试方案和操作要求进行,以确保调试过程的系统性和规范性。调试过程中,应逐步启动各设备和系统,密切观察其运行状态和参数变化,及时调整控制策略,以达到最佳的制冷效果和能耗水平。同时,应做好详细的调试记录,包括设备启动和停止时间、运行参数、故障及处理情况等,为后续的运行和维护提供有力支持。

调试运行是对机房设计的一次全面检验,有助于发现并改进设计中存在的不足,进一步提升机房的性能和效率。本项目通过严谨的调试运行过程,验证了高效制冷机房的稳定性和可靠性,为后续的运行和管理奠定坚实的基础。

5 结语

本文通过分析制冷设备的性能特点,基于能效比、噪音、运行稳定性等多维度评价指标对设备进行选型,确保机房设备的高效稳定运行的基础。在管道布置方面,通过优化管道设计,有效减少了管道阻力和能量损失,提高了制冷效率。同时通过机房的施工组织和调试运行,成功实现了高效制冷机房的建设,保证了机房的整体美观性和可维护性。为后续类似高效制冷机房的建设提供示范作用及经验借鉴,具有很好的推广价值。

作者简介:罗龙江,工程师