一种基于MDT功能实现无线基站基础信息核查方法
田姗姗 周乔松
中国电信股份有限公司湖北分公司 湖北武汉 430061
1.引言
本方法借助 MDT 功能,采用数据分析手段计算出无线基站小区的经纬度和方位角等信息,对基站基础信息的准确性进行远程自动化的核查,提升运营商无线网络管理的效率和质量。
根据 MDT 测量报告中的主服务小区 ID、传播时间提前量、经纬度等信息,通过传播时间提前量估算测量点到无线基站基站小区的直线距离,再根据多个测量点的经纬度及其到无线基站小区的距离,采用三角定位算法计算得到无线基站小区的经纬度和方位角等信息。最后,使用计算得到的小区经纬度、方位角与人工填报的基站基础信息表中的相关信息进行比对,发现经纬度、方位角偏差较大的基站基础信息。
2.方法实现主要步骤
本发明核查基站基础信息的主要包括一下步骤:
数据预处理:对 MDT 测量数据进行采集和预处理,提取测量点经纬度、主服务小区 ID、时间提前量等必要信息。
估算小区经纬度:选取归属同一主服务小区的多条 MDT 记录,采用三角定位算法估算主服务小区经纬度。
估算小区方位角:根据步骤二得到的小区估算经纬度和 MDT 记录中的经纬度信息,计算小区到各 MDT 测量点连线方向,估算小区的方位角。
核对基站基础信息:利用步骤二、步骤三计算得到的小区经纬度和方位角,与人工填报的基站基础信息表中相同小区的经纬度、方位角进行对比,偏差大于一定阈值的视为可疑记录。
2.1.数据预处理
UE 在连接态下进行 MDT 测量,并在测量完成后将测量报告上报给 eNodeB,通过网管服务器采集得到 MDT 测量报告,对测量报告中的关键信息进行提取。提取的主要信息有主服务小区 ID、TADV、经度、纬度。根据 tadv 计算测量上报点到主服务小区的距离 R,计算公式如下:
R= 0.078×tadv ,单位:千米
异常 MDT 数据清洗。从 MR_TABLE 中根据 ECGI 选出同一主服务小区的精简记录,计算经纬度的均方差。分别计算每条记录的经纬度与平均经纬度的偏差,当偏差大于均方差时,该记录作为异常数据丢弃。
2.2.估算小区经纬度
(1)从 MR_TABLE 中,根据 ECGI 选择同一主服务小区的 3N 条记录,每一条记录代表一个 MDT 测量点,包含测量点经纬度、测量点到主服务小区的距离,记做 Pi=(xi,yi,Ri) 。
(2)每三条记录作为一个计算组 Gn
Pi,Pj,Pk},。组内的三条记录代表三个测量点,三点的经纬度坐标不能相同。已知三点坐标及三点到基站小区的距离,采用三角定位近似算法求解基站小区的经纬度。
(3)三点定位近似算法设计如下。
1. 从(Pi,Pj,Pk)三点中选择 R 值较小的连个点,假设为 Pi 和 Pj。
2. 以 Pi 和 Pj 为圆心,Ri 和 Rj 为半径分别作圆 Oi 和 Oj,计算 Pi 和 Pj 之间距离为 dij。
3. 若 dij= Ri+Rj,即 Oi 和 Oj 相外切,外切点 G 则为基站小区位置。
4. 若 dij> Ri+Rj,即 Oi 和 Oj 相离,连接 Pi 和 Pj 两点,连线与 Oi、Oj 的交点记做 Gi 和 Gj。
再计算 Gi 和 Gj 到 Pk 的距离,记做 di 和 dj。如果|di – Rk|<|dj – Rk|,则 Gi 为基站小区的优选坐标,反之则 Gj 为基站小区的优选坐标。
5. 若 dij< Ri+Rj 且 dij> |Ri - Rj|,即 Oi 和 Oj 相交,两圆交点记做 Gi 和 Gj。再计算 Gi 和 Gj 到 Pk 的距离,记做 di 和 dj。如果|di – Rk|<|dj – Rk|,则 Gi 为基站小区的优选坐标,反之则 Gj 为基站小区的优选坐标。
6. 若 dij< |Ri - Rj|,即 Oi 和 Oj 相包含。从大圆圆心向小圆圆心做连线并延长,与两圆相交于 Gi 和 Gj。再计算 Gi 和 Gj 到 Pk 的距离,记做 di 和 dj。如果|di -Rk|<|dj-Rk| ,则 Gi 为基站小区的优选坐标,反之则 Gj 为基站小区的优选坐标。
通过三点定位近似算法,计算得到有三个测量点及距离唯一确定的基站小区优选坐标 (X,Y)
(4)对每一组记录分别求基站小区优选坐标,共计算的到 N 个优选坐标位置,记做 Sn= {(X1,Y1), (X2,Y2),......(Xn,Yn)}∘ 求 N 个优选点的平均坐标记做 S=(X,Y) ,

S 即为经过计算得到的该主服务小区经纬度坐标。
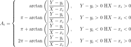
2.3.估算小区方位角
根据步骤二计算得到的基站小区经纬度 (X,Y) ,分别求小区坐标 S 到各个测量点Pi 的方向角 Ai。

再求 Ai 的平均值,即为该小区的方位角 A。
2.4.核对基站基础信息
将步骤二、步骤三计算得到小区经纬度坐标 S (x,y) 和方位角 A,与人工填报的小区基础信息进行对比,并计算偏差。若距离偏差大于 100 米,或者方位角偏差大于 120∘ ,则认定该小区人工填报信息存在明显偏差,要求进行现场测量复核。
3.相对现有技术具有的优点和效果
本发明利用 MDT 功能,根据 MDT 测量报告估算无线基站小区的经纬度和方位角,再和人工填报的信息进行比对,从而发现错误填报的信息。相比现有的基站基础信息管理方法,由于基站数量多分布广,只能采取收样的方式,到个别基站现场测量经纬度和方位角,检查基站基础信息填报是否准确。本发明所采用的技术可以远程、自动化地计算出小区经纬和方位角,采用三角定位法和质心算法提供了小区经纬度计算的准确度,提高了比对结果的可信度,提供了一种管理基站基础信息准确性的有效手段,减少了不必要的人工现场测试工作。