龄期对牛粪生物质灰混凝土立方体抗压强度的影响
周述光 回月彤 张海瑜 高子倩
武警后勤学院后勤保障系 300309
牛粪焚烧后留下约计1/10—1/3干牛粪重量的牛粪灰(Cattle Manure Ash,简称为CMA)[1]。目前,很多科研工作者尝试将牛粪灰等生物质灰应用于除了路基材料以外的混凝土中[2-4]。虽然科研工作者借鉴粉煤灰等工业副产品的应用经验,将牛粪灰作为建筑材料用到了道路基层中,积累了一定的应用基础理论,但由于牛粪灰混凝土的力学性能还不十分明确,龄期与强度之间的关系还不清楚,导致牛粪灰还不能像粉煤灰那样在混凝土中得到推广应用,针对上述理论问题,本文就龄期与牛粪灰混凝土立方体抗压强度的关系开展了试验研究。
1.原材料
试验中所用材料包括水泥、粗、细骨料、外加剂、粉煤灰和牛粪灰。水泥为普通硅酸盐水泥 P.O42.5R,符合《通用硅酸盐水泥》(GB175-2020)标准要求。细骨料为自然砂,细度模数2.39,II 区砂,含泥量,泥块含量,坚固性指标满足《普通混凝土用砂、石质量及检验方法标准》(JGJ 52-2019)要求,砂的表观密度为 2.60g/cm3. 。粗骨料为碎石。碎石平均粒径小于 30mm ,表观密度 2.91g/cm3 。两种骨料都满足《普通混凝土用砂、石质量及检验方法标准》(JGJ 52-2019)要求。粉煤灰(简称 FA)为 F 类 III级分选粉煤灰。试验中选用两种高效减水剂:一种为萘系减水剂,简称(NA),固体粉剂,掺量为胶凝材料质量的 1-1.4% ,减水率为 24.7% 。一种为聚羧酸高效减水剂(简称PC),液剂,掺量为胶凝材料质量的 1.0% ,减水率为 30% ,固体含量为 22‰ 。技术性能指标满足《混凝土外加剂》(GB8076-2008)要求。将牛粪在马弗炉炉内燃烧,燃烧温度约为 500 C,燃烧后,用筛孔直径为 4.75mm 的筛子过筛牛粪灰,得到牛粪灰CMA。 经过衍射分析,在物相组成上,水泥以硅酸三钙为主,FA、CMA 以二氧化硅和碳酸钙为主。
2.试验
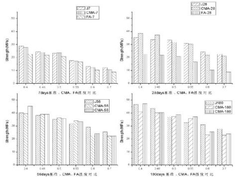
按《混凝土物理力学性能试验方法标准》(GB/T 50081-2019)试验,试件尺寸为100×100×100mm3s 。主要试验设备为 NYL-2000D 型压力试验机。试验龄期分别为(7,28,56,180)天。
混凝土立方体抗压强度试验配合比见表 2-1 所示。
表2-1 CMA 混凝土立方体抗压强度试验配合比

3. 试验结果
3.1 立方体抗压强度试验结果
图3-1 试验结果表明:在 7 天龄期,CMA 的混凝土立方体抗压强度高于FA 混凝土立方体抗压强度。28 天龄期,CMA 混凝土的立方体抗压强度高于 FA 混凝土的立方体抗压强度。在56 天龄期, W/C 0.5 时,CMA 混凝土的强度小于 FA 混凝土的强度,W/C 0.50 时,CMA 混凝土的强度高于 FA 混凝土的强度。180 天龄期, CMA 混凝土的强度小于FA 混凝土的强度。
图 3-1 J(基准)、CMA、FA 混凝土的立方体抗压强对比

3.2. 龄期与混凝土的立方体抗压强度关系龄期与 CMA 混凝土的立方体抗压强度关系见图 3-2 和表 3-1 所示。
图 3-2 CMA 混凝土立方体抗压强度强度与龄期的关系

表3-1 CMA 混凝土立方体抗压强度与龄期函数关系式

图 3-2 和表 3-1 表明:CMA 混凝土的强度随龄期的增长而提高,强度与龄期可以
用
的函数关系进行描述( ΠX 表示龄期,y 表示 fcufcu ,a、b 为参数)。
与龄期 x 的对数满足一次函数关系的试验结果与文献[5]的试验结果一致。
4.结论
通过试验研究,可以得到如下结论:
(1)在 7、28 天龄期,CMA 混凝土的强度高于 FA 混凝土强度。在 56 天龄期,W/C 0.5 时,CMA 混凝土的强度小于 FA 混凝土的强度,W/C 0.50 时,CMA 混凝土的强度高于 FA 混凝土的强度。180 天龄期, CMA 混凝土的强度小于 FA 混凝土的强度。(2)W/C 越小 CMA 混凝土的 fcu 越大,二者满足 y=a+bx 方程;龄期增加 CMA 混凝土的强度提高,二者满足
方程,碎石比卵石更有利于 CMA 混凝土强度形成,宜标准养护 CMA 混凝土。
参考文献
[1]Peng Feng, Shuguang Zhou, Juan Zhao. Effect of cattle manure ash on workability and mechanical properties of magnesium phosphate cement[J]. Construction and Building Materials, 2016, (129): 79-88.
[2]Zhou Shuguang, Zhang Shuangzhong, Shen Jiangjiang, Guo Wenting. Effect of cattle manure ash’s particle size on compression strength of concrete[J]. Case Studies in Construction Materials, 2019, https://doi.org/10.1016/j.cscm.2018.e00215.
[3]Xinxiao Chen, Shuguang Zhou, Haiyu Zhang , Yuetong Hui. Alkali Silicate Reaction of Cement Mortar with Cattle Manure Ash[J]. Construction and Building Materials, 2019,Vol203,(10): 722-733.
[4]Shuguang Zhou, Xun’an Zhang, Xinxiao Chen. Pozzolanic activity of feedlot biomass (cattle manure) ash[J]. Construction and building material, 2012, 28(1): 493-498.
[5]Zhang Peidong, Yang Yanli, Tian Yongsheng, Yang Xutong, Zhang Yongkai, Zheng Yonghong, Wang Lisheng. Bioenergy industries development in China: Dilemma and solution. Renewable and Sustainable Energy Reviews2009, 13:2571-2579.
项目由天津市自然科学基金资助,项目号 No.19YFZCSN01140周述光,男,汉,湖南新邵,博士,副教授,工程材料及建设项目管理。