初中数学教学中如何培养学生运算能力
许宝平
白银市第六中学 730900
引言
在初中数学的教学体系里,运算能力占据着极为关键的地位。它不仅是学生顺利解决各类数学问题的基础,更是提升学生数学思维、逻辑推理等综合素养的重要支撑。然而,当前在初中数学教学中,部分学生运算能力薄弱的现象较为突出。一些学生在面对较为复杂的运算时,常常出现计算错误、步骤混乱等问题,这不仅影响了他们对数学知识的掌握,也制约了他们在数学学习上的进一步发展。因此,如何采取有效措施培养学生的运算能力,成为初中数学教师亟待解决的重要课题。
一、牢固知识基础,熟练运用数学运算定律进行运算
在进入初中学习阶段后,数学概念、定律、定理等知识变得相对增多,对于这些,学生一定要熟练记忆并掌握,理清其内容、特点,能够根据具体的题目灵活运用。而这些知识当中,运算定律是非常重要的内容,关系到学生能否解答相关题目。教师在教学时,一定要把运算定律内容、性质、特点等讲解清楚,尤其是运算定律的具体应用,要用多种典型例题和学生一起分析,让学生去经历运算定律的形成过程以及应用方法,帮助学生在真正运用数学运算定律时,减少失误或错误的概率,提高答题准确率,也锻炼学生运算能力。
如七年级上册“有理数的乘法与除法”教学过程中,有这样一道题目:

解析:看到这个题目,有括号,又有分数,一般学生思路就会按照以往学过的运算顺序进行计算,先算小括号里面的,再算小括号外面的。因为是几个分数的加减,算起来比较麻烦,出错的概率也较大。如果能够掌握有理数乘除法运算定律,再去解决这个问题就变得很简单。经过回忆,发现我们学过的有理数乘法运算律有乘法交换律:ab=ba;乘法结合律 (ab)c=a(bc) ;乘法分配率 a(b+c)=ab+ac 。这时题目可以转化成如下形式:

这样计算就变得更为简单,甚至不用笔算,口头就可以给出答案,
1 4 3 6 5,由此得出正确答案-5.
通过这道题让学生充分认识到掌握运算定律对于自己解决运算问题的重要性和必要性。一定要注意的是,在进行有理数乘除法运算时,一定要看清运算符号,如果题目是
, 就完全是另一回事了。教学过程中,一定要告诉学生熟记、理解运算定律的重要性,避免出现和乘法运算定律混淆的情况,在遇到类似题目时,就可以更有效避免将其计算成 的情况的发生。
二、紧密联系现实生活,学以致用具备运算应用意识
数学学科和现实生活的联系非常紧密,如果你注意观察生活,会发现很多数学知识在生活中都有体现和广泛应用。运算、计算问题更是在现实生活中非常常见,如去超市购物,列出购买清单后,大概需要多少预算;家里装修铺地板,需要买多少块地板才会尽量减少浪费;在提倡节约环保的情况下,想要节省电费,也要对以往用电量进行对比计算等,都会用到计算和运算方面的知识。为此,在教学过程中,教师要用一些生活化的内容,减少学生对运算问题的陌生感,也通过运算感受到数学知识和现实生活的紧密联系,进一步清晰数学的应用价值。
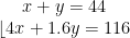
如在七年级下册《二元一次方程组》学习中,能够和现实生活联系的内容很多。如这样一道题:
经营户张师傅在蔬菜批发市场上了解到以下一些蔬菜价格信息内容:

张师傅用 116 元钱从市场上批发了红辣椒和西红柿共44 千克到菜市场去卖,当天全部卖完。请你帮张师傅算一算,他可以赚多少钱?
解析:题目当中数字很多,有批发价,有零售价,用常规的方法解决较复杂。这时,我们可以换一种思维,用方程来解决问题。
可以设张师傅在市场上批发了红辣椒 x 千克,西红柿 y 千克,根据题意可以得到
去解这个二元一次方程组,可以得到x 19, y 25
25×2+19×5-116=29 (元)
答:张师傅卖完这些西红柿和红辣椒能赚 29 元。
数学知识和生活进行联系后,学生可以结合自己的生活经验和经历去思考问题,更容易发现一些数量关系,从而能够更为高效地解决问题。
结语
在初中数学教学中,培养学生运算能力是一项长期且艰巨的任务,但意义非凡。通过牢固知识基础,让学生熟练运用数学运算定律进行运算,开展运算竞赛提高学生参与运算教学活动的积极性,以及紧密联系现实生活使学生具备运算应用意识等策略的实施,我们看到了学生在运算能力上的逐步提升。这不仅有助于学生更好地掌握数学知识,提高数学成绩,更为他们今后的学习和生活打下了坚实的基础。未来,我们仍需不断探索和创新教学方法,以适应学生不断变化的学习需求,进一步推动学生运算能力的全面发展。
参考文献
[1]马琳.组织小组合作“一对一”帮扶-浅谈初中数学教学中培养学生运算能力的问题及对策[J].考试周刊,2020,(42):79-80.
[2]潘兴发.基于核心素养视角下初中数学教学中培养学生运算能力的路径研究[J].课程教育研究,2019,(19):140-141.
[3]韩旭萍.初中数学教学中培养学生数学思维能力的措施探讨[J].数理天地(初中版),2025,(17):154-156.
[4]颜景秀,孔猛.初中数学教学中培养学生讲题能力的研究[J].数理天地(初中版),2025,(16):149-151.