SAGD井组井下作业协同调度优化模型与安全高效作业方案设计
朱锦旭
辽河油田分公司曙光作业一大队
一、引言
随着全球对能源需求的持续增长,稠油资源的开发愈发受到重视。SAGD 技术作为一种高效的稠油开采方法,在众多油区得到广泛应用。然而,SAGD 井组井下作业面临着高温、高压、高硫化氢等复杂环境,作业流程繁琐,涉及多种资源与设备的协同配合,传统的作业调度与管理方式难以满足安全高效作业的要求。因此,构建科学合理的协同调度优化模型并设计切实可行的安全高效作业方案,对于提升 SAGD 井组井下作业水平,保障稠油开采的顺利进行具有重要意义。
二、SAGD 井组井下作业概述
2.1 SAGD 技术原理
SAGD 技术是利用蒸汽作为加热介质,通过注汽井向地层注入高干度蒸汽,蒸汽与冷油区接触后释放汽化潜热,使原油温度升高、粘度降低。在重力作用下,加热后的原油和蒸汽冷凝水沿地层孔隙流向下方的水平生产井,进而被采出地面。随着注汽过程的持续,蒸汽腔不断扩展,逐渐驱替原油,实现稠油的高效开采。
2.2 SAGD 井组井下作业特点
SAGD 井组在长期注汽过程中,井下温度可达 200℃以上,压力较高,这对作业设备、工具及人员安全构成极大威胁。涉及起下管柱、更换井下工具、注汽设备维护、油井测试等多项作业环节,各环节相互关联、相互影响,对作业顺序与时间安排要求严格。除高温高压风险外,还存在硫化氢等有毒有害气体泄漏、井喷、火灾爆炸等风险,一旦发生事故,后果严重。需要多种作业设备,如通井机、修井机、吊车、水泥车等,以及大量的管材、工具、消耗材料等,且不同作业环节对资源的需求在时间和数量上存在差异。
三、协同调度优化模型构建
3.1 问题分析与建模思路
SAGD 井组井下作业协同调度问题可归结为在满足各种约束条件下,合理安排各项作业的开始时间、顺序以及资源分配,以实现特定的优化目标。基于此,运用运筹学中的项目调度理论,将井下作业视为一个项目,其中每个作业环节为项目活动,通过建立数学模型来描述作业之间的逻辑关系、资源约束及目标函数。
3.2 模型假设
各项作业的持续时间已知且固定,不受其他因素影响。资源的供应能力在作业期间保持稳定,不会出现中断或不足的情况。不同作业之间的衔接时间忽略不计,即一项作业完成后可立即开始后续作业。不考虑设备故障、天气变化等随机因素对作业进度的影响。
3.3 模型参数与变量定义
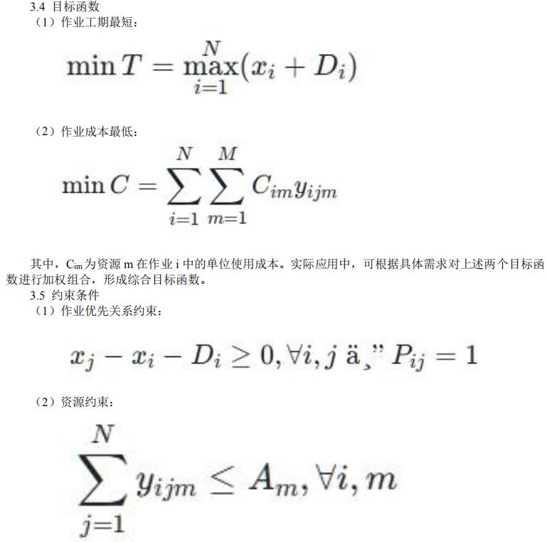
(1)模型参数:N:作业总数。
M:资源种类数。
Di:作业i 的持续时间。
Rjm :资源 m 对作业j 的单位时间需求量。
Am:资源m 的可用总量。
Pij :作业i 与作业j 之间的优先关系,若作业 i 必须在作业 j 之前完成,则 Pij=1 ,否则 Pij=0 .
(2)变量
xi:作业i 的开始时间。
yijm:作业 j 在时间段[xi, Xi+Di; ]内对资源 m 的使用量。


3.6 模型求解方法
该协同调度优化模型属于 NP - hard 问题,对于大规模问题,精确算法难以在合理时间内求得最优解。因此,可采用启发式算法,如遗传算法、粒子群优化算法、模拟退火算法等进行求解。以遗传算法为例,其求解步骤如下:
(1)编码:将作业的开始时间和资源分配方案进行编码,形成染色体。
(2)初始化种群:随机生成一定数量的染色体,组成初始种群。
(3)适应度计算:根据目标函数计算每个染色体的适应度值。
(4)选择:采用轮盘赌选择、锦标赛选择等方法,从种群中选择适应度较高的染
(5)交叉与变异:对选择后的染色体进行交叉和变异操作,生成新的染色体,以增加种群的多样性。
(6)迭代优化:重复步骤 3 - 5,直至满足终止条件,如达到最大迭代次数或适应度值不再显著改善。
(7)解码与输出:将最优染色体进行解码,得到作业的最优调度方案和资源分配结果。
四、安全高效作业方案设计
4.1 风险识别与评估
(1)风险识别方法
采用故障树分析(FTA)、失效模式与影响分析(FMEA)等方法,对 SAGD 井组井下作业过程中的潜在风险进行全面识别。从人员、设备、环境、管理等方面入手,分析可能导致事故发生的各种因素及事件链。
(2)风险评估指标体系构建
建立以事故发生概率、事故后果严重程度、风险暴露时间等为主要指标的风险评估体系。通过专家打分、历史数据统计等方法确定各指标的权重,运用层次分析法(AHP)、模糊综合评价法等对风险进行量化评估,确定风险等级。
4.2 安全措施制定
(1)高温高压防护措施
为作业人员配备耐高温、高压的防护装备,如隔热服、高压防护手套等;对作业设备进行高温、高压适应性改造,设置超温、超压报警装置及紧急泄压系统;在作业现场设置高温、高压警示标识,划定安全区域。
硫化氢防护措施:安装硫化氢监测设备,实时监测作业环境中的硫化氢浓度;配备硫化氢防护用具,如空气呼吸器、硫化氢检测仪等;制定硫化氢泄漏应急预案,定期进行演练;对作业人员进行硫化氢防护知识培训,提高应急处置能力。
(2)井控措施
完善井控设备配置,如安装防喷器、节流压井装置等,并确保其性能可靠;制定严格的井控操作规程,加强作业过程中的井控监测,及时发现并处理井涌、井喷等异常情况;定期进行井控演练,提高作业人员的井控意识和操作技能。
防火防爆措施:对作业现场的电气设备进行防爆改造,采用防爆电器、照明灯具等;严格控制作业现场的火源,禁止在易燃易爆区域吸烟、动火;配备灭火器材,制定火灾应急预案,定期组织灭火演练。
4.3 作业流程优化
(1)并行作业安排
在满足作业优先关系和安全要求的前提下,对部分可并行开展的作业进行合理安排,缩短作业总工期。例如,在起管柱作业的同时,可对备用管柱进行检查、清洗和准备工作。
(2)作业顺序调整
根据作业风险评估结果和资源利用效率,对作业顺序进行优化。优先安排风险较低、资源需求相对集中的作业,减少作业过程中的资源闲置和风险累积。
简化作业环节:对一些繁琐且非关键的作业环节进行简化或合并,减少不必要的操作步骤,提高作业效率。例如,优化井下工具的安装和拆卸流程,减少工具更换时间。
4.4 人员培训与管理
(1)安全技能培训
定期组织作业人员参加安全技能培训,内容包括 SAGD 井组井下作业安全操作规程、应急处置方法、防护设备使用等,提高作业人员的安全意识和操作技能。
(2)作业技能培训
针对不同作业岗位,开展专业作业技能培训,提升作业人员对设备操作、工艺执行等方面的能力,确保作业质量和效率。
(3)人员绩效考核
建立科学合理的人员绩效考核制度,将安全指标、作业任务完成情况、工作质量等纳入考核范围,激励作业人员积极履行职责,保障作业安全高效进行。
五、结论
本文通过构建 SAGD 井组井下作业协同调度优化模型,能够在考虑多种约束条件的基础上,实现作业工期和成本等目标的优化,为作业调度提供科学依据。同时,设计的安全高效作业方案从风险防控、作业流程优化、人员管理等多个方面入手,有效降低了作业安全风险,提高了作业效率。
参考文献
[1]何万军,孙新革,吴永彬,等.浅层超稠油油藏双水平井 SAGD 电加热预热启动参数优化设计与矿场试验[J].特种油气藏,2024,31(06):77-83.