散射角度分布数据的敏感性和不确定性分析的理论研究
贾晓茜 张强
国家国防科技工业局核技术支持中心 北京 100070
本研究从数据格式和扰动方法出发,研究如何获得连续能量或多群应用核数据库中的角度分数据。而后通过弹性散射和非弹性散射中角度分布的特点,初步分析散射角度分布引入的不确定度的方向。后续通过理论实现与数据分析,可以对快中子反应堆物理分析和屏蔽分析中由散射角度引入的不确定度进行量化。散射角度分布;弹性散射;非弹性散射;核数据
中图分类号:TL32 文献标志码:A
Abstract: The uncertainties of nuclear data are stored in the evaluated nuclear data file (ENDF) in the form of covariance. However, there is still a lack of research on the quantification of uncertainties in the angular distribution of scattering. This study starts from the data format and perturbation method to explore how to obtain the angular distribution data in the continuous energy or multi-group nuclear database. Then, based on the characteristics of the angular distribution in elastic scattering and inelastic scattering, the direction of the uncertainties introduced by the scattering angle is preliminarily analyzed. Subsequently, through theoretical implementation and data analysis, the uncertainties introduced by the scattering angle in the physical analysis of fast neutron reactors and shielding analysis can be quantified.
Key words: Scattering angle distribution, Elastic scattering, Inelastic scattering, Nuclear data
0 引言
核数据库作为反应堆物理中子学计算程序最基础的输入参数[1],其评价过程不可避免地存在实验测量误差和理论模型误差,因而核数据存在不确定度。核数据的不确定度以协方差的形式保存在评价核数据文件(ENDF)中,主要核数据类型包括基础反应截面、平均裂变中子数、散射角度分布和裂变谱等[2]。目前国内外研究重点关注核反应截面的不确定度量化研究,而针对散射角度分布的不确定度量化研究较少。已有的研究表明,快中子反应堆[3]和屏蔽分析[4]由散射角度分布引起的不确定性显著,因此需要量化其引入的不确定性水平。
本研究从数据格式和扰动方法出发,研究如何获得连续能量或多群应用核数据库中的角度分布数据。而后通过弹性散射和非弹性散射中角度分布的特点,初步分析散射角度分布引入的不确定度的方向,为后续研究奠定理论基础。
1数据格式及扰动方法
评价核数据库中描述中子散射角度分布有两种方式,分别为列表函数法和勒让德多项式表示法。列表函数法是将归一化概率分布 f(μ,E) 作为入射中子能量的函数, f( μ, E)dμ 是入射能量为E 的中子在余弦为 μ 的角度上散射到间隔 dμ 内的概率,此方法常用于表示剧烈变化的角度分布,一般在中子入射能量较高时使用;另一种方法是将勒让德多项式展开系数 an(E) 作为入射中子能量的函数,即:

式中:L 是勒让德多项式的阶数, an(E) 是第 Ωn 阶勒让德多项式系数。此方法可以根据角度分布变化的剧烈程度改变勒让德多项式的阶数。
在评价核数据库的MF34 文件中,散射角度分布的不确定度表示为各阶勒让德系数的协方差。图 1 为入射中子能量为1 MeV 时,对238U 弹性散射出射中子角度分布的扰动示意图。由于勒让德多项式的正交性,扰动勒让德多项式系数不会改变概率的积分,即:



1.2 连续能量数据库
ACE 数据库中有两类存储散射角度分布的格式,一类是存储散射角度余弦离散的概率密度函数(PDF)和累积分布函数(CDF),根据离散区间内插值方式的不同,又可以分为等概率插值和线性插;另一类是通过指定 33个μ 网格点来表示 32 个等概率箱,即将累积分布函数在[0,1]上平均分为 32 个区间,并保存对应的散射角度余弦值。
当扰动勒让德多项式系数时,连续的散射角度分布发生变化(如图 1 所示),此时ACE 数据库中的散射角度分布数据需要重新进行离散过程。
2散射角度分布数据的特点
对于满足两体动力学的反应道,出射中子的能量和角度能够通过动量和能量守恒方程相互推导。这些反应道可以由截面和出射角度完全描述。
2.1 弹性散射
弹性散射的角度分布随入射中子能量和靶核的改变而呈现出某种规律。图 给出了不同入射中子能量下, 238U 弹性散射出射中子的角度分布。当入射中子的能量较低时,质心系下出射中子的角度分布是平坦的;随着入射中子能量增加,向前散射的方向出现第一个峰;随着入射中子能量继续增加,向前散射的峰变得更高,同时出现第二个峰;当入射中子的能量为10 MeV 时,大部分出射中子角度集中在前方较小的范围内,而且出射概率分布曲线呈现出几个极大与极小值。

图2不同入射中子能量下238U弹性散射出射中子的角度分布
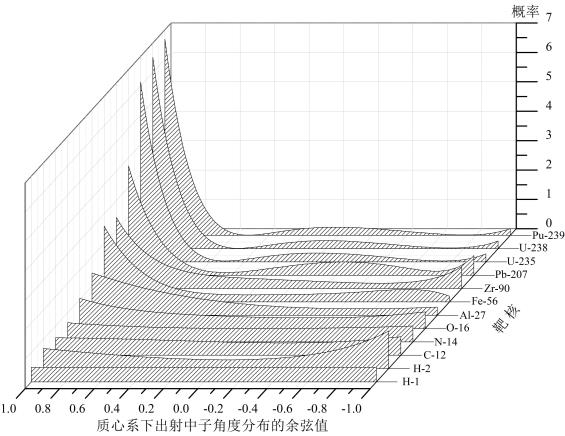
当入射中子的能量保持不变,出射中子的角度分布与靶核的质量数呈现出某种规律。图 给出了入射中子能量为 2 MeV,中子与12 种靶核发生弹性散射反应时,出射中子的角度分布。可以发现,质量数较小的靶核(如1H,12C,14N 等)在质心系下,出射中子的角度分布非常平坦;随着质量数增加,出射中子的角分布呈现出类似于上述随入射中子能量变化的趋势。通过图 和图 的分析可知,在质心系下,高能入射中子与重核发生弹性散射的出射中子角度分布各向异性显著,需要考虑其对数值计算结果的不确定度贡献。

图3入射中子能量为2MeV时不同靶核弹性散射出射中子的角度分布
2.2 非弹性散射
分离能级的非弹性散射为阈能反应,反应的入射中子能量阈值一般为 10*~10* eV,因此质心系下分离能级的非弹性散射的出射中子角分布有较强的各向异性。 图 和图 展示了入射中子能量为10 MeV 时, O 和 U 前5 个分离能级的非弹性散射(MT51 T55) 的出射中子角度分布。可以发现,对于质量较轻的 160 核素,出射中子的角度分布较为平坦,在质心系下近似为各向同性;对于质量较重的 zss[] 核素,出射中子的角度分布变化剧烈,在质心系下呈现强烈的各向异性。
图41O分离能级的非弹性散射的出射中子角度分布

图52U分离能级的非弹性散射的出射中子角度分布

3 结论
本研究给出了获得连续能量或多群应用核数据库中的角度分布数据的方法,并初步研究了弹性散射和非弹性散射中角度分布的特点。结果表明:入射中 质心系下散射角度分布的各向异性越强;入射中子能量确定时,靶核越重,质心系下散射角度分布的各向异性越强。这说明了在快中子反应堆屏蔽分析与屏蔽设计中,应充分考虑由于散射角度引入的不确定度。
参考文献:
[1] 万承辉. 核反应堆物理计算敏感性和不确定性分析及其在程序确认中的应用研究[D]. 西安:西安交通大学, 2018.
[2] BROWN D, CHADWICK M, CAPOTE R, et al. ENDF/B-VIII.0: The 8th Major Release of the Nuclear Reaction ata ibrary ith IELO-project ross ections, ew tandards nd hermal cattering ata[J]. Nuclear Data Sheets, 2018, 148: 1-142.
[3] YOKOYAMA K. Development of adjusted nuclear data library for fast reactor application[C].EPJ Web Conference, 281, 00004, 2023.
[4] MARUYAMA S, ENDO T, YAMAMOTO A. Uncertainty reduction of sodium void reactivity using datafrom a sodium shielding experiment[J]. Journal of Nuclear Science and Technology, 2023, 61: 31-43.
[5] 徐嘉隆. 堆用核数据处理新方法研究及自主化核数据处理程序 NECP-Atlas 的开发[D]. 西安交通大学,2019.
收稿日期:2025-xx-xx;修回日期:2025-xx-xx
作者简介:贾晓茜(1995—),女,博士研究生,现主要从事反应堆物理计算分析、核安全审评方面的研究