数显型电力电缆转弯半径测量仪的研制及应用
孔令超 李振清 梁晓波 胡宗军 李影 藕剑国
中国石油华北油田分公司 华港燃气集团有限公司
引言:城市智慧化项目中,电气线路分项工程对供电系统至关重要,供电设施的隐蔽化设计是关键。电缆敷设时转弯半径不足会导致绝缘层损坏,因此需要科学快捷的测量方法。目前,现场测量仍依赖传统方法,影响准确性与效率,急需开发新型测量仪器。
一、电力电缆转弯半径标准
根据《电气装置安装工程电缆线路施工及验收规范》中的规定,电缆敷设检查验收时,允许的最小转弯半径数据如表1 所示[1]。
表1 常用电缆最小转弯半径

二、数显型电力电缆转弯半径测量仪
(一)弦高法测量原理
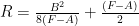
“弦高法”数学建模的基本思想如图 1 所示,直接用简单变换 a、b2 个数学参量即可得到测量电缆部分的拐点半径 R[2] 。由于 a、b 两变量互相垂直,从而使该方法具有稳定性和仪器精确性两大优势。
图1 弦高法数学模型原理(内径) 图2 弧长法测量示意图 图3 三点法测量

示意图
通常,用弦高法、弧长法、三点法等对电力电缆转弯半径进行测量[3]。(1)弦高法如图1 所示,其中的计算公式如下:

(2)弧长法如图2,而转弯半径计算式为:

(3)三点法如图3 其计算式为:

依据上述三种方式可设计不同转向半径的测量设备,市场常见的大概分两种类型。一种基于传统手段,如《一种测量高压电缆转弯半径的工具》的设备,通过弹簧棒与带刻度水平仪相连,外力使弹簧棒与电缆曲线吻合,在水平仪确定相接位置可得转弯半径,构造简单但类似产品多;而《一种快速测量电缆转弯半径的方法》的产品较复杂,实际应用效果一般。另一种基于电子距离传感器,如《一种电力电缆转弯半径的检测装置及其检测方法》《一种电力电缆转弯半径测量仪》等,精确度高,但造价昂贵、检修困难,市场上此类产品较少。
(二)实现测量
初始设计的数显型电缆半径测量仪的框架及其实现功能用的是“弦高法”数学模型,可以参考图4 所示。
图4 数显型电缆半径测量仪功能结构简图

如图 4a ,用“弦高法”数学表达式编制电子数显电缆半径测径仪,通过两根定型部品B 杆和A 杆计算电缆半径R。因无法实时获取电缆外径图像(图 4b),该装置需利用“弦高法”数学模型,将参比杆 A 设为原值一致且不变的辅助杆 F,此时 b=B (基准杆),a 是 F(辅助杆)与 A(测量杆)间的数值差异,把a 代入公式(4)计算电缆旋转半径,公式(4)形式如下:

该数字电缆弯曲半径仪能计算曲线曲率半径 R,可伸缩支撑杆 F 展开后长度与测量杆相等,接触边缘稳固。操作时,收缩杆模拟值转数字值,微型电脑计算电线直径R,并实时显示在LCD 上。
图5 折叠式结构简图(设计图) 图6 成品图

(三)产品的设计与应用
图 5、图 6 展示数显型电缆半径测量仪折叠状态最终设计与成品图。该设备折叠收纳简单,折合后体积在 20cm3 以内。经实验室对比试验,它能在 1s 内算出电缆外径、内径半径,准确性小于 ±2mm 、复现性偏差小于0.5% 。实地测量时,可将传统电缆 3min 测量时间缩短 1min,达十五秒测量显示,检测结果良好,产品策略目标基本达成。
结束语
数显型电力电缆转弯半径测量仪改变了目前电力电缆旋转半径测量操作性差、作业时间长的环境问题,节约了操作人员的安全成本和人力成本,使用方便,测得结果精确。有效解决了线路上电缆旋转半径测量的难题,对于构建及维护电缆旋转半径数据库保障电缆安全高效运行具有至关重要的作用。
参考文献:
[1]吴现濮.高速公路机电设备接地改造技术研究[J].黑龙江科学,2023,14(20):135-138.
[2]付超,熊汉武,彭超,等.成卷电线电缆多参数一体化智能测量技术[J].高电压技术,2023,49(S1):32-35.
[3]汪春萌,高峰,龚徐桦,等.数显型高压电缆转弯半径测量仪的研制及应用[J].现代工业经济和信息化,2023,13(05):129-130.