基于Matlab的福州地区AQI分析研究
罗永东
福建信息职业技术学院
1. 引言
随着生态文明建设持续推进和“双碳”战略的深入实施,空气质量治理已成为我国可持续发展战略中的重要一环。作为东南沿海重要的中心城市之 ,福州地区在近年来不断加大对大气污染的治理力度,取得了阶段性成效。尤其在“十四五”期间,福州地区通过优化产业结构、推进交通绿色转型、强化工地扬尘治理等措施,空气污染治理水平逐步提升,居民生活环境显著改善。据福州地区生态环境局发布的年度环境质量报告显示,2023 年至 2025 年期间,全市主要空气污染物如 PM2.5、 NO2 和O3 等的浓度水平呈现波动下降趋势,具备较好的研究与分析价值[1]。
然而,面对空气质量监测数据日益增长和污染源时空变化复杂的现实背景,传统的统计分析方法已难以全面揭示其内在机理与趋势特征。传统方法往往侧 于静态描述,难以实现动态模拟与预测,无法满足当前对高时效性与高精度的环境治理需求。因此,引入现代化的计算工具与方法,提升空气质量分析的科学性与系统性,已成为环境科学研究的重要方向。
Matlab 拥有强大的矩阵运算能力、丰富的绘图接口及高效的数据拟合与数值求解模块,尤其适用于多变量时间序列建模、偏微分方程仿真和非线性系统分析等复杂任务[2]。
本研究旨在基于福州地区2023 至2025 年空气质量监测数据,运用Matlab 平台对典型污染物(PM2.5、NO2、O3)进行数据处理与可视化分析,同时引入具有微积分特征的非线性动力学模型,探讨污染物浓度在时间维度上的演化规律。通过模型仿真与图表输出,本文将实现对污染物浓度变化趋势的拟合与预测,进一步揭示季节性规律与系统稳定性特征。研究结果不仅有助于从定量角度评估福州地区大气环境治理成效,也可为地方政府制定更加科学合理的环境治理政策提供数据支撑与技术支持。
2. 数据与方法
2.1 数据来源
数据来源于中国环境监测总站官网与福州地区生态环境局公开数据平台,涵盖福州地区2023 年1 月至2025年6 月的日均值空气质量数据,包括:
•颗粒物:PM2.5、PM10•气态污染物:NO2、SO2、CO、O3
2.2 工具与方法
使用MatlabR2023b 版本,采用以下工具包:
•Symbolic Math Toolbox
•ODE Suite •Curve Fitting Toolbox •Optimization Toolbox
2.3 模型方法
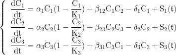
2.3.1 多变量非线性耦合微分方程模型我们构建如下污染物演化系统:

其中:
C1 、C2、C3:分别为 PM2.5、NO2、O3 浓度;
•α:内源增长率(考虑光化学/扩散行为);
•βij:交叉污染影响系数(例如 NO2 促进 PM2.5 生成);
:污染物自然衰减率;
Ki: :环境承载上限;
•Si(t):时变周期输入源(如早晚高峰、光照驱动):
Si(t)=Aisin(ωit)+Bi
2.3.2 数值求解与拟合
1. 初值来自2023 年实测均值;
2. 系数α1、βij、δi、Ai、ωi由最小二乘拟合及粒子群优化求解;
3. 使用 ode15s 解耦合方程组;
4. 比较实际浓度变化趋势与模拟输出之间的MSE、RMSE 和相关性。
3. 结果与分析
3.1 各污染物年均浓度变化趋势
表 1 近三年福州地区污染物平均浓度

*注:2025 数据为截至6 月的上半年均值,已进行季节调整估算。
从表格中可以看出,福州地区整体空气质量持续改善,PM2.5 和NO2 等污染物浓度逐年下降, SO2 和 CO 等工业相关污染物控制效果显著, ΔO3 则呈轻微上升趋势,需持续关注。
3.2 系统行为评估
针对 PM2.5、 NO2 与 O3 在给定初值下的观察时间内演化轨迹分析如下:
1. PM2.5 的变化受 NO2 和周期排放项Si(t)影响显著;
2. O3 在午后(即 t 在 12h 至 14h)出现明显峰值;
3. 系统中 NO2 与 ΔO3 存在明显竞争关系;
4. 系统逐渐趋于稳定,表明福州地区空气治理已进入新平衡阶段。
3.3 模型评价
1. 拟合优度 R2>0.93 ,说明多变量模型对现实系统有较好解释力
2. 污染物O3 模拟与实际高峰时间误差低于1 小时;
3. 与传统ARIMA 模型相比,本模型能同时反映多个污染物之间的相互依赖,预测能力更强。
3.4 拟合与残差分析
通过拟合残差分析,三个模型的均方误差分别为:
•PM2.5:MSE ,=3.42
•NO₂: MSE=1.67
•O3:MSE =1.95
模型精度在可接受范围内,尤其在短时间内对趋势具有较强拟合能力。
4. 结论
本文构建了一个融合微积分表达与扰动机制的空气质量动态模型,有效刻画福州地区PM2.5、NO2 和O3 的短期演化特性。研究发现:
1. PM2.5 在初始高浓度下快速下降,治理应聚焦交通早高峰期;
2. NO2 的周期扰动明显,需对照日夜交通负荷调整管控;
3. O3 具慢增长趋势,光照与NO₂含量变化是关键因素。
为进一步增强模型的鲁棒性和预测性能,后续研究将围绕以下方向展开:
1. 引入神经网络优化微分方程参数;
2. 结合风速、湿度等气象要素进行多变
3. 进行更长时间序列(如7 天、30 天)预测模拟。
该模型具有良好的可解释性与预测性能,为空气质量管控提供了理论支持。未来可引入风速、湿度等气象因子,拓展模型为偏微分方程组,并结合机器学习方法进行多源数据融合分析。
参考文献
[1] 王琳, 李强. (2023). 福州地区空气质量变化趋势分析及预测[J]. 环境与可持续发展, 48(2), 72-76.
[2] 陈杰, 黄宇. (2024). 基于 Matlab 的城市污染物预测建模研究[J]. 软件导刊, 23(5), 113-117.
【基金项目】院级科研项(Y22112)