数列与函数融合的多解探究及教学策略优化
朱雪玲
广东省清远市英德市第一中学 广东清远 513000
关键词:新高考;数列与函数;教学策略


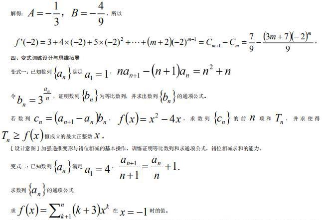
[ 设计意图 ] 改变递推公式的公差和初始值,强化递推变形与错位相减的基本操作,结合函数考查,替换代入值,训练学生处理符号交替与奇偶项分类的能力。
五、教学策略与备考建议
(一)深化课本知识,构建知识网络
溯源课本,引导学生深入梳理课本中数列章节的核心内容,如等差数列、等比数列的定义、通项公式、前 n 项和公式等,明确各知识点之间的内在联系。以选择性必修二第 4.3.2 节错位相减法的推导过程为例,让学生理解其原理和应用场景,同时回顾递推数列通项求解的方法,建立递推关系与通项公式之间的转化桥梁。在复习过程中,有意识地进行跨模块知识整合,将函数、导数、组合数学等知识与数列知识相结合。例如,利用导数法求和时,回顾导数的定义和运算规则,让学生体会数学知识的整体性和连贯性,提升知识迁移能力。
(二)强化思维训练,掌握通性通法
注重一题多解与多题一解的训练。以本题为例,引导学生尝试用错位相减法、裂项法、求导法等多种方法求解,比较不同方法的优缺点和适用条件,让学生学会根据问题特点选择合适的解题策略。同时,通过对一类问题的分析,总结出通性通法,如数列求和中的错位相减法、裂项相消法、分组求和法等,提高学生的解题效率。
设计阶梯式变式训练题组,包括基础型、综合型和创新型题目。基础型题目侧重巩固基础知识和基本方法;综合型题目加强知识的综合运用;创新型题目培养学生的创新思维和问题解决能力。通过循序渐进的训练,让学生逐步提升对递推数列与求和问题的适应性,避免机械套用公式,培养灵活运用知识的能力。
(三)注重过程性教学,培养核心素养
在课堂教学中,充分暴露思维过程,如递推式的变形思路、解题方法的选择过程、猜想验证的步骤等。通过展示教师的思维路径,帮助学生理解数学问题的本质,掌握分析问题和解决问题的方法。例如,在证明等差数列时,引导学生思考为什么要进行这样的变形,如何想到构造新的数列等。
鼓励学生进行数学实验与探究,利用数学软件如 GeoGebra 验证求和公式的正确性,或自主探索数列求和的新方法。通过实践操作,让学生直观感受数学知识的形成过程,激发创新意识,培养科学探究能力。例如,让学生用 GeoGebra 绘制数列的图像,观察数列的变化趋势,加深对数列性质的理解。
(四)关注高考动态,把握命题趋势
深入研究《中国高考评价体系》和《高中数学新课程标准》,明确“核心价值金线”“能力素养银线”“情境载体串联线”在试题中的体现方式。以本题为例,分析其如何通过数列与函数的情境考查学生的逻辑推理和数学运算素养,引导学生在备考过程中注重核心素养的培养。
系统分析历年高考真题,特别是近五年新高考中数列与其他知识结合的题目,如 2019 年全国卷概率与数列结合题、2023 年新高考数列求和题等,把握“递推关系—求和—综合应用”的命题脉络,预测类似题型的演变方向,有针对性地进行备考复习。
(五)加强错题复盘,提升解题精准度
结合数列题型的特点,教师可将错题复盘与限时训练相结合,每完成一轮数列相关错题的复盘后,设计针对性的限时小测,比如 15分钟内完成 3 道递推数列求和题,要求学生在规定时间内规范书写解题步骤。这种结合方式既能够检验错题复盘的实际效果,又能训练学生的解题速度与步骤规范性,适配高考中数列题的答题节奏,帮助学生在考试中减少因步骤疏漏、运算粗心导致的失分,最终实现“做对题、得满分”的备考目标。
为让数列相关错题的复盘更具系统性, 教师应引导学生建立结构化错题本, “错误类型—错误原因—修正过程—同类题迁移”四个维度整理错题,杜绝复 变形失误(如构造新数列时系数处理不当)、求和方法选择偏差(如混淆 记错、 定义域忽略)。以递推数列构造新数列的错题为例,教师需要求 确变形思路—为何想到这样构造”,通过前后步骤的对比, 让学生清晰 本质,不能仅停留在表面修正。若学生因忽略数列首项导致通 顾等差数列定义中首项与公差的关联性,同时补充类似题目(如已知递推 展强化训练, 帮助学生从根源上理解错误产生的原因,避免同类错误重复出现。教师还需定期组 题的复 ,比如“如何避免导数法求和时的运算失误”“递推式变形的常见技巧”等内容, 借助同伴互助的形式拓宽 对数列错题的分析视角, 进一步提升整体解题精准度。
六、结语
2025 年新高考数学Ⅰ卷第 16 题作为数列与函数融合的典型试题,具有知识综合性强、方法多样性高、思维创新性突出的特点,对考查学生的数学核心素养具有重要意义。对于县域高中数学教学而言,应立足学生实际学情,以课本知识为根基,以素养培养为导向,通过“溯源—拆解—迁移—创新”的教学路径,引导学生从“解题”走向“解决问题”。在教学过程中,深化课本知识构建网络,强化思维训练掌握通法,注重过程教学培养素养,关注高考动态把握趋势,帮助学生夯实基础、提升能力,为新高考改革背景下的数学教学提供县域视角的实践参考。
参考文献:
[1] 中华人民共和国教育部。普通高中数学课程标准(2017 年版2020 年修订)[M]. 北京:人民教育出版社,2020.
[2]2025 年高考数学全国卷试题评析 [EB/OL]. 澎湃新闻客户端,2025-06-09.
[3] 人教版数学选择性必修二教材及配套习题[M]. 北京:人民教育出版社,2020
[4] 林伟婕。数列求和(二)错位相减法教学设计 [EB/OL]. https://m.jinchutou.com/shtml/view-533409174.html,2023-12-14.