高频燃烧红外吸收法测定铜精矿硫含量的不确定度评定
章超 郭亮 杨辉 陈贺海
宁波海关技术中心 浙江宁波 315200
高频燃烧红外吸收法可快速测定铜精矿中硫含量 [1],对其测量不确定度进行评定,对于提高检测准确度,评估检测质量具有重要意义。本实验方法称取 0.05g 试样上机测试,使用高硫检测池分析试样中硫的信号,使用含量相近的标准样品进行单点校准,并根据 CNAS-CL01-G003 :2021《测量不确定度的要求》[2] 和 JJF 1059-2012《测量不确定度评定与表示》[3],并对测定过程中各种因素引起的测量不确定度进行评定。
1 实验部分
1.1 主要仪器和试剂耗材
仪器:CS3500 型碳硫仪(钢研纳克公司);LA84E 型梅特勒 - 托利多电子天平(精度为0.0001g) );碳硫仪专用陶瓷坩埚(规格 Φ25mm*25mm )。
主要试剂耗材:铜精矿标准样品 GSB04-2710-2011(ZBK337)(济南众标科技有限公司,标准值:25. 05%±0.40%) );纯铁助熔剂(太钢有限公司钢铁研究所):粒度 <1 . 25mm ,ω(S) <0 . 0005% ,ω( ΔC)<0.0005% ;纯钨助熔剂(钢研纳克检测技术有限公司):粒度0. 4mm~0 .8mm,ω(S) <0.0005% ,ω(C) <0.0005% 。
载气:氧气(纯度 >99.999% ),0.4Mpa ;动力气:氮气(纯度 >99.999% ),0.3MPa。
1.2 实验方法
1.2.1 操作步骤
称取 0.05g(精确至 0.0001g⋅ )标准样品于预先放置 0.2g 纯铁助熔剂的瓷坩埚中,覆盖2.0g 纯钨助熔剂,将试样置于已完成预热的高频炉中,通氧燃烧,使样品中的硫全部转化为二氧化硫,导入高硫检测器,读取测定结果。重复上述步骤 5 次,得到一组重复性较好的数据,再进行标样校正,使得硫的结果在真实值误差范围内。
1.2.2 建立数学模型样品中硫含量计算公式为ω
式中:
ωs—样品中硫的含量,% ;
ms—样品中硫的质量,g ;
m0—样品质量,g
1.2.3 不确定度来源分析
测定过程的不确定来源包括重复性不确定度、标准物质引入的不确定度和仪器示值不确定度等,根据 JJF1059.1-2012《测量不确定度评定与表示》[3],不确定度评定主要包括 A 类评定和B 类评定,将各个环节的不确定度来源进行分类评定,具体如表1 所示。
Table 1 Sources of testing uncertaint

2 不确定度评定
2.1 重复测量引入的不确定度评定对铜精矿样品进行11 次检测,得到的测定结果见表2。
表1 不确定度的来源
ing results of sulfur content in copper concentrates( (n=11)

根据贝塞尔公式,
式中: u(A) 为重复测量引入的A 类不确定度;n 为重复测量的次数; Xi 为单次测量结果;x 为测量结果的平均值。
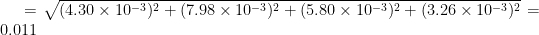
由 此 可 得 重 复 测 量 引 入 的 相 对 标 准 不 确 定 度
2.2 标准物质引入的不确定度评定
查 证 书 可知 铜 精 矿 标 准 样品 GSB04-2710-2011(ZBK337) 标 准 值为 25.05%, 不 确 定 度 为 U:0.40% , 取 包 含 因 子 k=2 , 可 得 由 标 准 样 品 引入 的 不 确 定度 [
相 对 不 确 定 度 为
2.3 称样引入的不确定度评定
称样误差引入的不确定度主要分为测量误差和天平分辨力误差。根据检定证书和天平铭牌所示,最大允许误差为 ±0 .5e(e 为天平检定分度值) )=±0 .5mg,区间半宽度 a1=0. .5mg,质量测量值落在该区间的概率均匀分布,包含因子
,天平测量误差引入的标准不确定度
。而天平分辨力d=0.1mg,区间半宽度 a2=0.05mg ,包含因子
,因此天平分辨力引入的标准不确定度u2
由此可计算电子天平误差引入的合成不确定度
根 据 样 品 质量 m
, 电 子 天 平 误 差 引 入 的 相 对 标 准 不 确 定 度
。
2.4 仪器设备示值误差引入的不确定度评定
碳硫仪校准证书(编号:HX924010947)上硫含量测量不确定度为: U=0.0003% ,k=2,属于均匀分布,所使用标准物质硫含量为 0.046%,因此仪器示值误差 [5] 引入的不确定度
仪器示值误差引入的相对标准不确定度
2.5 坩埚、助熔剂引入的不确定度评定
陶瓷坩埚在使用经过 1000° 高温4h 灼烧处理,加入 0.2g 纯铁助熔剂和 2.0g 纯钨助熔剂进行多次测试,由于仪器采用高硫测量通道,灵敏度有所降低,坩埚和助熔剂中的硫含量均未检出,由此引入的不确定可忽略不计。
2.6 合成不确定度的计算
根据上述分析,各个不确定度分量的计算结果如表3 所示。
表2 铜精矿样品中硫含量的测定结果
表3 不确定度的来源

Table3 Calculate results of uncertainty components
由 此 可 得 合 成 的 相 对 标 准 不 确 定 度
铜精矿样品中硫含量的测定结果为 c=23 .14%,所以铜精矿样品中硫含量测定结果的标准不确定度 uc=c×uc,rel=23.14%×0.011=0.25% ,取包含因子 k=2 (置信度为 95%),铜精矿样品中硫含量的相对扩展不确定度U= 2×0 .25%=0. 50% 。
2.7 测量不确定报告的表示
高频燃烧红外吸收法测定铜精矿样品中硫含量的不确定度表示为 ω (s)= (23. 14±0.50)% ,k=2。
3 结语
从上述各个不确定度分量可知,由标准物质和称样引起的不确定度对评定结果的总不确定度影响较大,因此在检测过程中,使用精度更高的国家标准物质,并适当增加称样量等措施来降低检测结果的不确定度。通过上述测量不确定的评定,比较全面地考虑了该检测方法整个分析过程的不确定度来源,也为红外吸收法在其他矿石硫含量测定中的不确定度来源分析提供了科学的参考依据。
参考文献:
[1] 俞金生 . 高频燃烧红外吸收光谱法测定铜原矿和尾矿中的硫 [J]. 冶金与材料,2020,40(2):51-52.
[2] 中国合格评定国家认可委员会 . 测量不确定度的要求 CNAS-CL01-G003 :2021[s].北京:中国标准出版社,2021.
[3] 国家质量监督检验检疫总局. 测量不确定度评定与表示JJF 1059.1-2012[s]. 北京:中国标准出版社,2012.
[4] 马建 . 高频红外碳硫仪测定钢铁中硫含量的不确定度评定 [J]. 广州化工,2015,43(17):153-155.
[5] 钱亚峰,李亚娟 . 红外碳硫分析仪测定白云石中硫含量测量不确定度的评定 [J].分析测试技术与仪器,2016,22(4):246-249.