Mobile Science
中职学生数学运算核心素养的培养路径探究
陈伟芬
舟山开放大学(舟山蓉浦学院) 316021
一、引言
《中等职业学校数学课程标准(2020 年版)》(简称《课标(2020 年版)》)标志着以核心素养为引领的中职数学课程改革迈入崭新阶段。该标准明确指出,中等职业学校数学学科核心素养主要包括数学运算、直观想象、逻辑推理、数学抽象、数据分析和数学建模。其中,数学运算作为解决数学难题的基础手段,不仅在航天材料、环境保护、人工智能、大数据分析等高科技领域发挥着关键作用,更是现代公民日常生活与工作中不可或缺的基本能力。
然而,通过日常学业评估发现,当前中职学生群体中,存在相当一部分学生的数学运算能力较弱,运算素养亟待提升。面对这一现状,教学实践中亟需不断探索并实施有效的培养路径,以针对性地培养并提升学生的数学运算核心素养。这一举措对于增强学生的数学应用能力、促进其综合素质的全面发展具有重要意义。
二、 中职数学运算素养的内涵和培养意义
(一)中职数学运算素养的内涵
《课标(2020 年版》指出:数学运算是指在明确运算对象的基础上,依据数学运算法则与公式对具体对象进行变形的演绎过程。主要包括:识别运算对象,理解和掌握运算法则,探究运算思路,选择运算方法,设计运算程序,求得运算结果等。
(二)中职数学运算素养的培养意义
1. 提升数学能力:数学运算素养的培养有助于提升中职学生的数学能力,包括自学能力、概括能力、表达和交流能力、思维能力等。
2. 促进专业课学习:数学知识在许多后继学科里有广泛的应用,如财会的会计基础、机械的制图等。中职数学运算素养的提升有助于他们更好地学习这些专业课程。
3. 培养科学精神:通过严谨的运算过程和细致的验证,中职学生能够建立科学的思维方式和工作态度,这对于他们未来的学术研究和职业发展具有重要意义。
4. 提升创新能力:在数学学习中鼓励探索未知、尝试新方法,可以激发学生的创新意识。这种敢于尝试的精神是推动科技进步和个人成长的重要动力之一。
5. 增强解决问题的能力:通过数学运算的学习,学生能够掌握解决实际问题的方法和技巧,养成一丝不苟、勤于反思的品格。这对于他们将来在职场上面对各种挑战时,能够迅速准确地做出判断和决策至关重要。
三、中职数学运算素养的培养路径
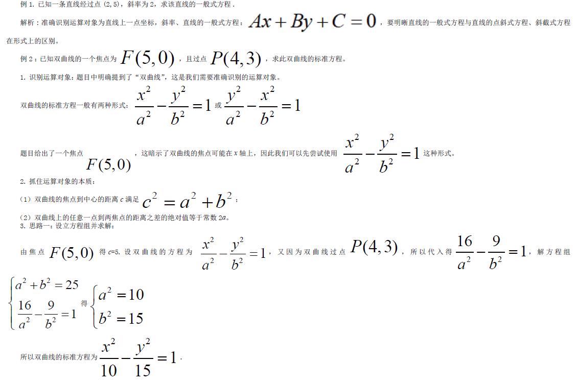
(一)准确识别运算对象,抓住运算对象的本质
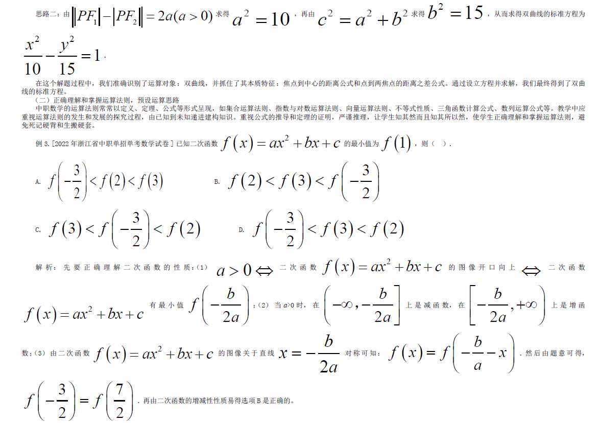
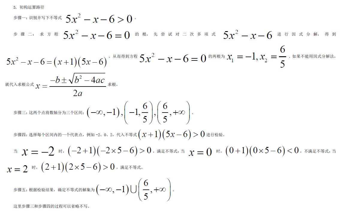
运算对象包括数、式(字母或代数式)、向量、复数等,式可表现为单项式、多项式;或者由其延展出来的不等式、方程式、指数式、对数式、三角函数式、排列数、组合数等。在进行数学运算时,首先要弄清楚运算对象,这是运算的基础。如果这一步没做好,后续运算过程将成为无用之功。如何使学生快速捕捉而且准确识别运算对象?首先应让学生学会认真仔细地逐字逐句审题,重点标记易忽视的内容和数据,思考与运算过程相关的条件和结论。其次要深度理解运算对象,从概念的定义出发,由表及里,挖掘概念的内涵和本质属性,让学生充分理解基本概念,这是提升运算素养的必备条件。






