地下障碍物破除过程中流态固化土回填施工技术研究与应用
彭湃 徐子涵 张宇辉 逄硕 胡大伟 李周 纪明野
中建科工集团有限公司 北京 100000
1 工程概况
1.1 工程简介
东城区某重大基础设施项目,基坑开挖深度 20.75m,局部开挖深度 25.61m,基坑支护采用 3 道钢筋混凝土环撑 + 地下连续墙 , 地下四层与邻近地铁有 4 个通道和 2 个管井相通。
1.2 地下障碍物破除概况
西北侧障碍物为地下通道,埋深 13.2mc 。东侧障碍物为地铁施工遗留降水导洞,埋深10.4m。地下通道及降水导洞内部采用建筑垃圾等进行回填,存在较大间隙。拟采用全回转钻机进行地下障碍物破除,钻孔直径为 1m,相邻钻孔中心间距为 0.5m。地连墙成槽宽度为0.8m,该宽度范围内需回填完成后重新开挖;该宽度范围外(下图阴影区域)回填后不再开挖。具体范围见下图所示:
图1 障碍物破除及地连墙成槽范围示意图

2 回填方案的选择
传统地下障碍物破除回填材料存在缺陷,素土回填不仅压实难度大,还会延长工期;混凝土、砂石等材料则强度偏大,且流动性欠佳,无法填实孔隙,容易导致后期地连墙成槽困难。流态固化土作为一种新型工程材料,具有高流动性、自密实性,且压缩性低,其强度可通过配合比进行调整,可以有效解决地下障碍物破除回填的难题。
3 现拌流态固化土配合比设计
流态固化土采用高效土壤固化剂来固化细颗粒土。根据工程需要和土壤特性,在土料中加入固化剂和水,形成有一定流动性的混合料,通过浇筑和养护,硬化后形成有强度的岩土工程材料。
3.1 原材料选取
本次工程流态固化土的制备,拟选用施工现场挖取的原状土- 黏质粉土层作为基础土料,其物理性能指标详见表1。
表1 原状土物理性能指标

3.2 固化剂选择与施工要求
基于施工场地原状土的物理力学性质及工程设计要求,选用以硅酸盐水泥为主要成分的固化剂。为保障成槽机后续施工进行,流态固化土回填强度需控制在 0.6-1.0Mpa 之间;扩展度需 >300mm 。
3.3 性能分析
将土料、水、固化剂以不同比例拌合进行试验,以确定满足施工要求的流态固化土最佳配合比。具体试验分组如下表所示:
表2 现拌流态固化土试验分组

在上述不同配合比的试验分组上,对现拌流态固化土的扩展度及抗压强度进行检测,具体试验结果如表3 所示。
表3 现拌流态固化土试验结果

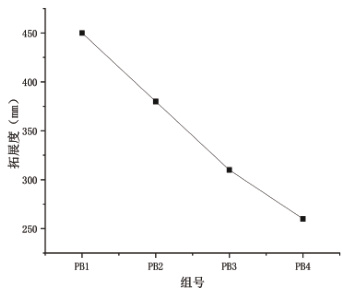
从图2 可以得出,流态固化土的扩展度随固化剂配比的增加呈下降趋势;
图2 不同拌合比下扩展度的变化

图 3 可以得出,流态固化土抗压强度增长呈现先快后慢趋势,前 7 天强度快速增长,7~28 天强度增长放缓。同时流态固化土抗压强度随固化剂配比的增加而逐渐增大。
图3 不同拌合比下抗压强度的变化

其中,PB2 组表现突出,其扩展度为450mm,抗压强度在短期(3d)内可达0.3Mpa 以上,中期(7d)增强至0.6Mpa 左右,直至长期(28d)稳定在0.85Mpa,可以满足本工程施工需求。结合扩展度与抗压强度的综合表现,PB2 组固化剂配比在保证流态固化土良好流动性的同时,能够快速形成强度并持续增长。
4 现拌流态固化土施工技术
4.1 原土准备
根据施工需求计算所需土量,确保原材料供应充足,同时对原材料进行质量控制,固化剂进场时应验收合格文件及使用说明书,对土料、拌合用水进行检验,确保其符合相关国家规定。
4.2 流态固化土制备
选用以硅酸盐水泥为主要成分的固化剂,按照土:水:固化剂 =10 :2.5 :1 比例混合。制备时,先将水与固化剂等混合搅拌均匀合成浆液,后将浆液与土料进行拌合,保证材料充分混合。
4.3 流态固化土浇筑
本工程处理障碍物采用全回转钻机钻孔深度 18m-29m ,孔径 1m,流态固化土拌合完成后应在 6h 内完成回填。浇筑采用导管法,导管底部距孔底≤ 1m,导管埋入固化土深度≥ 2m,浇筑时,导管需匀速提升,同时合理安排施工节奏,避免因长时间中断导致已浇筑层初凝或离析。
4.5 质量检测及控制措施
现拌流态固化土随机取样制作 70×70×70mm 试块,送检至实验室检测其强度性能指标,若留置试块抗压强度不合格,需增加现场取芯检测,确保流态固化土质量符合施工要求,在固化土达到设计强度后进行验收。
5 结束语
本文以东城区某工程为依托,通过现场试验,深入研究流态固化土不同配合比下扩展度与抗压强度的变化规律,配置出满足设计强度需求的固化土。作为一种新型工程材料,流态固化土具有优异的自密实与抗渗性能,施工免振捣、免夯实,沉降量小,作业时无噪声、无扬尘,符合绿色环保理念,降低对环境影响。利用现场原状土拌制流态固化土,能够消纳基坑开挖产生的土方,减少现场土方堆场占地面积,节省土方外运与回填费用,进一步降低施工成本。
参考文献:
[1] 丁毅 , 梁岩 , 李乃军 . 添加剂对固化土强度影响的试验研究 [J]. 沈阳大学学报 ,2010,22 (04):1-3.
[2] 周永祥 , 王继忠 . 预拌固化土的原理及工程应用前景 [J]. 新型建筑材料 ,2019,46(10):117-120.
[3] 李延伟 . 预拌流态固化土施工与回填技术研究 [J]. 石油化工建设 ,2025,47(4):128-130.
[4] 苏悦, 闫楠, 白晓宇, 付林, 张启军, 梁斌, 王保栋, 王立彬, 张英杰, 张安琪. 预拌流态固化土的工程特性研究进展及应用 [J]. 材料导报 ,20 24,38(9):62-68